Incremental Social Learning Applied to Particle Swarms
Chapter 4 of Incremental Social Learning in Swarm Intelligence Systems
Table of Contents
- IPSO and IPSOLS
- Solution quality distribution
- Results after 100 function evaluations
- Results after 1,000 function evaluations
- Results after 10,000 function evaluations
- Results after 100,000 function evaluations
- Results after 1,000,000 function evaluations
- Solution quality development and population size growth over time (mean)
- Ackley function
- Double sum function
- Griewank function
- Penalized function
- Rastrigin function
- Rosenbrock function
- Salomon function
- Schaffer function
- Schwefel function
- Sphere function
- Step function
- Weierstrass function
- Statistical significance results (alternative hypothesis = "less")
- Differences after 100 function evaluations
- Differences after 1,000 function evaluations
- Differences after 10,000 function evaluations
- Differences after 100,000 function evaluations
- Differences after 1,000,000 function evaluations
- Effect size analysis
- Results after 100 function evaluations
- Results after 1,000 function evaluations
- Results after 10,000 function evaluations
- Results after 100,000 function evaluations
- Results after 1,000,000 function evaluations
- IPSOLS+
- Redesign Stages
- Stage 1: Choosing a Local Search Method
- Stage 2: Changing the Strategy for Calling and Controlling the Local Search Method
- Stage 3: Vectorial PSO rules
- Stage 4: Penalizing Bound Constraints Violation
- Stage 5: Fighting Stagnation by Modifying the
Local Search Call Strategy
- Stage 6: Fighting Stagnation with Restarts
- Comparison of All IPSOLS Variants
- Parameter Tuning with Iterative F-Race
- IPSOLS BOBYQA
- IPSOLS-Stage-I (Original)
- IPSOLS-Stage-II (Best-Adaptive)
- IPSOLS-Stage-III(Vertical)
- IPSOLS-Stage-IV (Penalize)
- IPSOLS-Stage-V (Failures)
- IPSOLS-Stage-VI (Restarts)
- Execution Time and Function Evaluations Scalability
- F1: Shifted Sphere Function
- F2: Shifted Schwefel Problem 2.21
- F3: Shifted Rosenbrock Function
- F4: Shifted Rastrigin Function
- F5: Shifted Griewank Function
- F6: Shifted Ackley Function
- F7: Shifted Schwefel Problem 2.22
- F8: Shifted Schwefel Problem 1.2
- F9: Shifted Extended f10
- F10: Shifted Bohachevsky
- F11: Shifted Schaffer
- F12: Hybrid Function 1
- F13: Hybrid Function 2
- F14: Hybrid Function 3
- F15: Hybrid Function 4
- F16: Hybrid Function 5
- F17: Hybrid Function 6
- F18: Hybrid Function 7
- F19: Hybrid Function 8
- Comparison of DE, CHC, G-CMA-ES, and the default and tuned configurations of IPSOLS
- Average Error
- Median Error
- Maximum Error
- Minimum Error
|
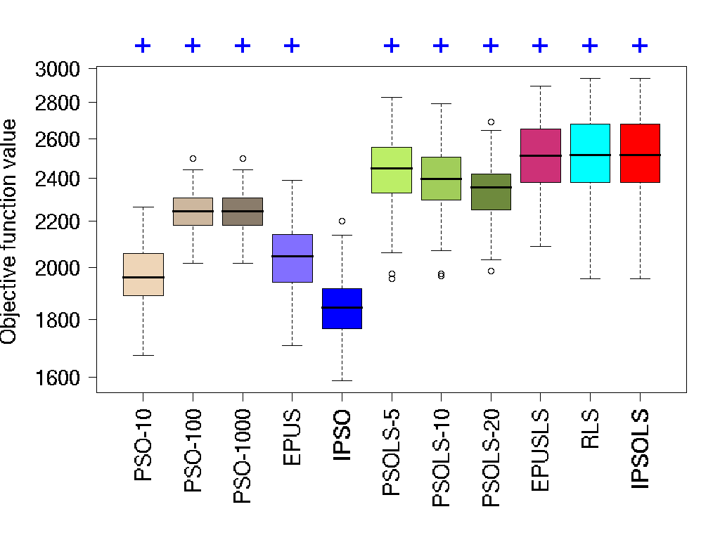
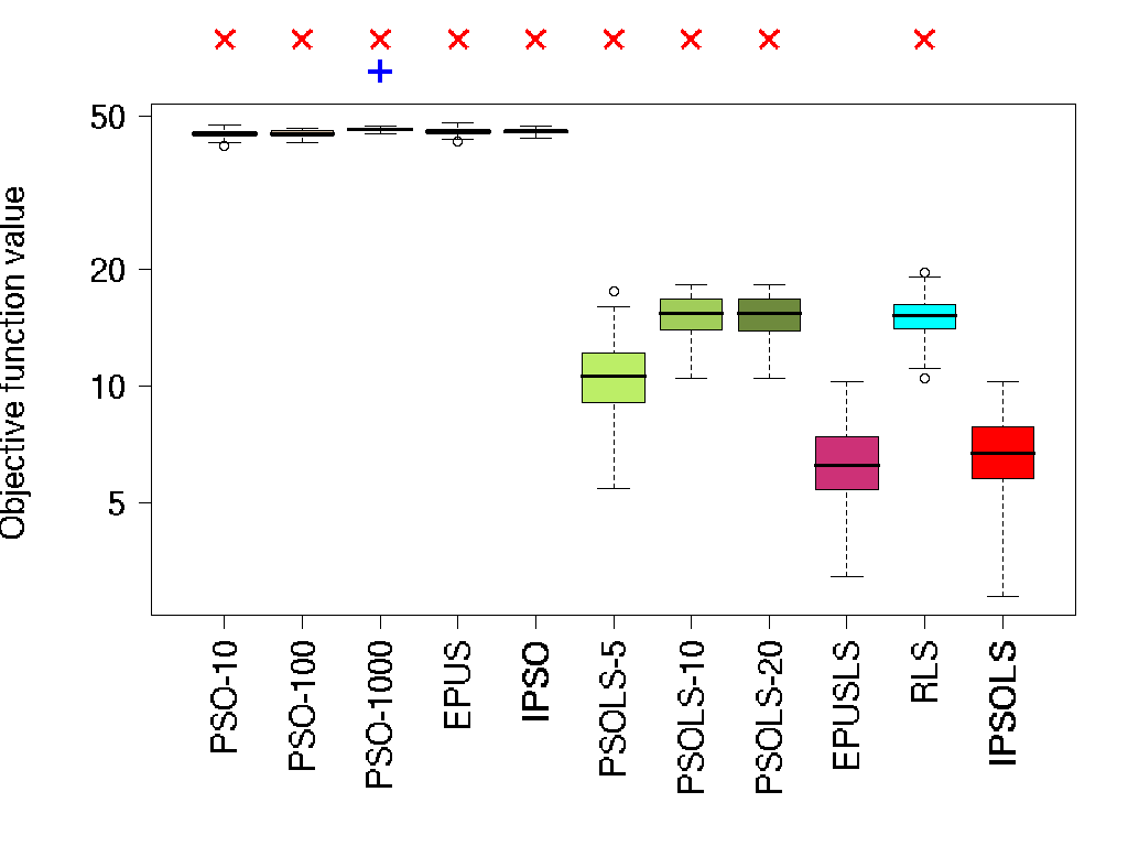
Solution quality distribution
The following figures show the boxplots of the solution quality distribution after a certain number of function evaluations. A symbol on top of a box plot denotes a statistically significant difference at the 5% level between the results obtained with the indicated algorithm and those obtained with IPSO (in favor of IPSO, marked with a "+" symbol) or with IPSOLS (in favor of IPSOLS, marked with a "x" symbol).
Results after 100 function evaluations
| Ackley function - 100 dimensions |
| Fully-connected topology | Ring topology |
 |
 |
| Double sum function - 100 dimensions |
| Fully-connected topology | Ring topology |
 |
 |
| Griewank function - 100 dimensions |
| Fully-connected topology | Ring topology |
 |
 |
| Penalized function - 100 dimensions |
| Fully-connected topology | Ring topology |
 |
 |
| Rastrigin function - 100 dimensions |
| Fully-connected topology | Ring topology |
 |
 |
| Rosenbrock function - 100 dimensions |
| Fully-connected topology | Ring topology |
 |
 |
| Salomon function - 100 dimensions |
| Fully-connected topology | Ring topology |
 |
 |
| Schaffer function - 100 dimensions |
| Fully-connected topology | Ring topology |
 |
 |
| Schwefel function - 100 dimensions |
| Fully-connected topology | Ring topology |
 |
 |
| Sphere function - 100 dimensions |
| Fully-connected topology | Ring topology |
 |
 |
| Step function - 100 dimensions |
| Fully-connected topology | Ring topology |
 |
 |
| Weierstrass function - 100 dimensions |
| Fully-connected topology | Ring topology |
 |
 |
Results after 1000 function evaluations
| Ackley function - 100 dimensions |
| Fully-connected topology | Ring topology |
 |
 |
| Double sum function - 100 dimensions |
| Fully-connected topology | Ring topology |
 |
 |
| Griewank function - 100 dimensions |
| Fully-connected topology | Ring topology |
 |
 |
| Penalized function - 100 dimensions |
| Fully-connected topology | Ring topology |
 |
 |
| Rastrigin function - 100 dimensions |
| Fully-connected topology | Ring topology |
 |
 |
| Rosenbrock function - 100 dimensions |
| Fully-connected topology | Ring topology |
 |
 |
| Salomon function - 100 dimensions |
| Fully-connected topology | Ring topology |
 |
 |
| Schaffer function - 100 dimensions |
| Fully-connected topology | Ring topology |
 |
 |
| Schwefel function - 100 dimensions |
| Fully-connected topology | Ring topology |
 |
 |
| Sphere function - 100 dimensions |
| Fully-connected topology | Ring topology |
 |
 |
| Step function - 100 dimensions |
| Fully-connected topology | Ring topology |
 |
 |
| Weierstrass function - 100 dimensions |
| Fully-connected topology | Ring topology |
 |
 |
Results after 10,000 function evaluations
| Ackley function - 100 dimensions |
| Fully-connected topology | Ring topology |
 |
 |
| Double sum function - 100 dimensions |
| Fully-connected topology | Ring topology |
 |
 |
| Griewank function - 100 dimensions |
| Fully-connected topology | Ring topology |
 |
 |
| Penalized function - 100 dimensions |
| Fully-connected topology | Ring topology |
 |
 |
| Rastrigin function - 100 dimensions |
| Fully-connected topology | Ring topology |
 |
 |
| Rosenbrock function - 100 dimensions |
| Fully-connected topology | Ring topology |
 |
 |
| Salomon function - 100 dimensions |
| Fully-connected topology | Ring topology |
 |
 |
| Schaffer function - 100 dimensions |
| Fully-connected topology | Ring topology |
 |
 |
| Schwefel function - 100 dimensions |
| Fully-connected topology | Ring topology |
 |
 |
| Sphere function - 100 dimensions |
| Fully-connected topology | Ring topology |
 |
 |
| Step function - 100 dimensions |
| Fully-connected topology | Ring topology |
 |
 |
| Weierstrass function - 100 dimensions |
| Fully-connected topology | Ring topology |
 |
 |
Results after 100,000 function evaluations
| Ackley function - 100 dimensions |
| Fully-connected topology | Ring topology |
 |
 |
| Double sum function - 100 dimensions |
| Fully-connected topology | Ring topology |
 |
 |
| Griewank function - 100 dimensions |
| Fully-connected topology | Ring topology |
 |
 |
| Penalized function - 100 dimensions |
| Fully-connected topology | Ring topology |
 |
 |
| Rastrigin function - 100 dimensions |
| Fully-connected topology | Ring topology |
 |
 |
| Rosenbrock function - 100 dimensions |
| Fully-connected topology | Ring topology |
 |
 |
| Salomon function - 100 dimensions |
| Fully-connected topology | Ring topology |
 |
 |
| Schaffer function - 100 dimensions |
| Fully-connected topology | Ring topology |
 |
 |
| Schwefel function - 100 dimensions |
| Fully-connected topology | Ring topology |
 |
 |
| Sphere function - 100 dimensions |
| Fully-connected topology | Ring topology |
 |
 |
| Step function - 100 dimensions |
| Fully-connected topology | Ring topology |
 |
 |
| Weierstrass function - 100 dimensions |
| Fully-connected topology | Ring topology |
 |
 |
Results after 1,000,000 function evaluations
| Ackley function - 100 dimensions |
| Fully-connected topology | Ring topology |
 |
 |
| Double sum function - 100 dimensions |
| Fully-connected topology | Ring topology |
 |
 |
| Griewank function - 100 dimensions |
| Fully-connected topology | Ring topology |
 |
 |
| Penalized function - 100 dimensions |
| Fully-connected topology | Ring topology |
 |
 |
| Rastrigin function - 100 dimensions |
| Fully-connected topology | Ring topology |
 |
 |
| Rosenbrock function - 100 dimensions |
| Fully-connected topology | Ring topology |
 |
 |
| Salomon function - 100 dimensions |
| Fully-connected topology | Ring topology |
 |
 |
| Schaffer function - 100 dimensions |
| Fully-connected topology | Ring topology |
 |
 |
| Schwefel function - 100 dimensions |
| Fully-connected topology | Ring topology |
 |
 |
| Sphere function - 100 dimensions |
| Fully-connected topology | Ring topology |
 |
 |
| Step function - 100 dimensions |
| Fully-connected topology | Ring topology |
 |
 |
| Weierstrass function - 100 dimensions |
| Fully-connected topology | Ring topology |
 |
 |
Solution quality development and population size growth over time (mean)
The following figures show the development of the solution quality and of the population size growth over time. The plots correspond to the mean value (out of 100 independent runs).
Results on the Ackley function
| Ackley function - 100 dimensions |
| Fully-connected topology | Ring topology |
 |
 |
 |
 |
Results on the double sum function
| Double sum function - 100 dimensions |
| Fully-connected topology | Ring topology |
 |
 |
 |
 |
Results on the Griewank function
| Griewank function - 100 dimensions |
| Fully-connected topology | Ring topology |
 |
 |
 |
 |
Results on the Penalized function
| Penalized function - 100 dimensions |
| Fully-connected topology | Ring topology |
 |
 |
 |
 |
Results on the Rastrigin function
| Rastring function - 100 dimensions |
| Fully-connected topology | Ring topology |
 |
 |
 |
 |
Results on the Rosenbrock function
| Rosenbrock function - 100 dimensions |
| Fully-connected topology | Ring topology |
 |
 |
 |
 |
Results on the Salomon function
| Salomon function - 100 dimensions |
| Fully-connected topology | Ring topology |
 |
 |
 |
 |
Results on the Schaffer function
| Schaffer function - 100 dimensions |
| Fully-connected topology | Ring topology |
 |
 |
 |
 |
Results on the Schwefel function
| Schwefel function - 100 dimensions |
| Fully-connected topology | Ring topology |
 |
 |
 |
 |
Results on the Sphere function
| Sphere function - 100 dimensions |
| Fully-connected topology | Ring topology |
 |
 |
 |
 |
Results on the Step function
| Step function - 100 dimensions |
| Fully-connected topology | Ring topology |
 |
 |
 |
 |
Results on the Weierstrass function
| Weierstrass function - 100 dimensions |
| Fully-connected topology | Ring topology |
 |
 |
 |
 |
Statistical significance results (alternative hypothesis = "less")
The following tables show all pairwise p values obtained after applying Wilcoxon's test using Holm's correction method for multiple comparisons.
Differences after 100 function evaluations
| Ackley function - 100 dimensions |
| Fully-connected topology |
| A-PSO-10 | B-PSO-100 | C-PSO-1000 | D-EPUS | E-PSOLS-5 | F-PSOLS-10 | G-PSOLS-20 | H-EPUSLS | I-RLS | J-ISL |
| B-PSO-100 | 1.0e+00 | NA | NA | NA | NA | NA | NA | NA | NA | NA |
| C-PSO-1000 | 1.0e+00 | 1.0e+00 | NA | NA | NA | NA | NA | NA | NA | NA |
| D-EPUS | 1.0e+00 | 6.5e-03 | 6.5e-03 | NA | NA | NA | NA | NA | NA | NA |
| E-PSOLS-5 | 1.0e+00 | 1.0e+00 | 1.0e+00 | 1.0e+00 | NA | NA | NA | NA | NA | NA |
| F-PSOLS-10 | 1.0e+00 | 1.0e+00 | 1.0e+00 | 1.0e+00 | 8.4e-07 | NA | NA | NA | NA | NA |
| G-PSOLS-20 | 1.0e+00 | 1.0e+00 | 1.0e+00 | 1.0e+00 | 2.3e-07 | 4.1e-03 | NA | NA | NA | NA |
| H-EPUSLS | 1.0e+00 | 1.0e+00 | 1.0e+00 | 1.0e+00 | 1.0e+00 | 1.0e+00 | 1.0e+00 | NA | NA | NA |
| I-RLS | 1.0e+00 | 1.0e+00 | 1.0e+00 | 1.0e+00 | 1.0e+00 | 1.0e+00 | 1.0e+00 | 1.0e+00 | NA | NA |
| J-ISL | 1.0e+00 | 1.0e+00 | 1.0e+00 | 1.0e+00 | 1.0e+00 | 1.0e+00 | 1.0e+00 | 1.0e+00 | 1.0e+00 | NA |
| Z-IPSO | 5.5e-07 | 2.7e-16 | 2.7e-16 | 8.3e-11 | 1.2e-16 | 1.2e-16 | 1.2e-16 | 1.5e-16 | 1.2e-16 | 1.2e-16 |
|
| Ring topology |
| A-PSO-10 | B-PSO-100 | C-PSO-1000 | D-EPUS | E-PSOLS-5 | F-PSOLS-10 | G-PSOLS-20 | H-EPUSLS | I-RLS | J-ISL |
| B-PSO-100 | 1.0e+00 | NA | NA | NA | NA | NA | NA | NA | NA | NA |
| C-PSO-1000 | 1.0e+00 | 1.0e+00 | NA | NA | NA | NA | NA | NA | NA | NA |
| D-EPUS | 1.0e+00 | 6.3e-03 | 6.3e-03 | NA | NA | NA | NA | NA | NA | NA |
| E-PSOLS-5 | 1.0e+00 | 1.0e+00 | 1.0e+00 | 1.0e+00 | NA | NA | NA | NA | NA | NA |
| F-PSOLS-10 | 1.0e+00 | 1.0e+00 | 1.0e+00 | 1.0e+00 | 8.4e-07 | NA | NA | NA | NA | NA |
| G-PSOLS-20 | 1.0e+00 | 1.0e+00 | 1.0e+00 | 1.0e+00 | 2.3e-07 | 4.1e-03 | NA | NA | NA | NA |
| H-EPUSLS | 1.0e+00 | 1.0e+00 | 1.0e+00 | 1.0e+00 | 1.0e+00 | 1.0e+00 | 1.0e+00 | NA | NA | NA |
| I-RLS | 1.0e+00 | 1.0e+00 | 1.0e+00 | 1.0e+00 | 1.0e+00 | 1.0e+00 | 1.0e+00 | 1.0e+00 | NA | NA |
| J-ISL | 1.0e+00 | 1.0e+00 | 1.0e+00 | 1.0e+00 | 1.0e+00 | 1.0e+00 | 1.0e+00 | 1.0e+00 | 1.0e+00 | NA |
| Z-IPSO | 1.7e-08 | 4.6e-16 | 4.6e-16 | 1.7e-12 | 1.6e-16 | 2.0e-16 | 2.2e-16 | 1.6e-16 | 1.5e-16 | 1.5e-16 |
|
| Griewank function - 100 dimensions |
| Fully-connected topology |
| A-PSO-10 | B-PSO-100 | C-PSO-1000 | D-EPUS | E-PSOLS-5 | F-PSOLS-10 | G-PSOLS-20 | H-EPUSLS | I-RLS | J-ISL |
| B-PSO-100 | 1.0e+00 | NA | NA | NA | NA | NA | NA | NA | NA | NA |
| C-PSO-1000 | 1.0e+00 | 1.0e+00 | NA | NA | NA | NA | NA | NA | NA | NA |
| D-EPUS | 1.0e+00 | 1.7e-15 | 1.7e-15 | NA | NA | NA | NA | NA | NA | NA |
| E-PSOLS-5 | 1.0e+00 | 1.0e+00 | 1.0e+00 | 1.0e+00 | NA | NA | NA | NA | NA | NA |
| F-PSOLS-10 | 1.0e+00 | 1.0e+00 | 1.0e+00 | 1.0e+00 | 1.7e-03 | NA | NA | NA | NA | NA |
| G-PSOLS-20 | 1.0e+00 | 1.0e+00 | 1.0e+00 | 1.0e+00 | 2.2e-05 | 4.0e-02 | NA | NA | NA | NA |
| H-EPUSLS | 1.0e+00 | 1.0e+00 | 1.0e+00 | 1.0e+00 | 1.0e+00 | 1.0e+00 | 1.0e+00 | NA | NA | NA |
| I-RLS | 1.0e+00 | 1.0e+00 | 1.0e+00 | 1.0e+00 | 1.0e+00 | 1.0e+00 | 1.0e+00 | 1.0e+00 | NA | NA |
| J-ISL | 1.0e+00 | 1.0e+00 | 1.0e+00 | 1.0e+00 | 1.0e+00 | 1.0e+00 | 1.0e+00 | 1.0e+00 | 1.0e+00 | NA |
| Z-IPSO | 2.7e-09 | 1.1e-16 | 1.1e-16 | 2.8e-14 | 1.1e-16 | 1.1e-16 | 1.1e-16 | 1.1e-16 | 1.1e-16 | 1.1e-16 |
|
| Ring topology |
| A-PSO-10 | B-PSO-100 | C-PSO-1000 | D-EPUS | E-PSOLS-5 | F-PSOLS-10 | G-PSOLS-20 | H-EPUSLS | I-RLS | J-ISL |
| B-PSO-100 | 1.0e+00 | NA | NA | NA | NA | NA | NA | NA | NA | NA |
| C-PSO-1000 | 1.0e+00 | 1.0e+00 | NA | NA | NA | NA | NA | NA | NA | NA |
| D-EPUS | 1.0e+00 | 2.8e-15 | 2.8e-15 | NA | NA | NA | NA | NA | NA | NA |
| E-PSOLS-5 | 1.0e+00 | 1.0e+00 | 1.0e+00 | 1.0e+00 | NA | NA | NA | NA | NA | NA |
| F-PSOLS-10 | 1.0e+00 | 1.0e+00 | 1.0e+00 | 1.0e+00 | 1.7e-03 | NA | NA | NA | NA | NA |
| G-PSOLS-20 | 1.0e+00 | 1.0e+00 | 1.0e+00 | 1.0e+00 | 2.2e-05 | 4.0e-02 | NA | NA | NA | NA |
| H-EPUSLS | 1.0e+00 | 1.0e+00 | 1.0e+00 | 1.0e+00 | 1.0e+00 | 1.0e+00 | 1.0e+00 | NA | NA | NA |
| I-RLS | 1.0e+00 | 1.0e+00 | 1.0e+00 | 1.0e+00 | 1.0e+00 | 1.0e+00 | 1.0e+00 | 1.0e+00 | NA | NA |
| J-ISL | 1.0e+00 | 1.0e+00 | 1.0e+00 | 1.0e+00 | 1.0e+00 | 1.0e+00 | 1.0e+00 | 1.0e+00 | 1.0e+00 | NA |
| Z-IPSO | 6.5e-13 | 1.1e-16 | 1.1e-16 | 9.7e-15 | 1.1e-16 | 1.1e-16 | 1.1e-16 | 1.1e-16 | 1.1e-16 | 1.1e-16 |
|
| Rastrigin function - 100 dimensions |
| Fully-connected topology |
| A-PSO-10 | B-PSO-100 | C-PSO-1000 | D-EPUS | E-PSOLS-5 | F-PSOLS-10 | G-PSOLS-20 | H-EPUSLS | I-RLS | J-ISL |
| B-PSO-100 | 1.0e+00 | NA | NA | NA | NA | NA | NA | NA | NA | NA |
| C-PSO-1000 | 1.0e+00 | 1.0e+00 | NA | NA | NA | NA | NA | NA | NA | NA |
| D-EPUS | 1.0e+00 | 6.4e-15 | 6.4e-15 | NA | NA | NA | NA | NA | NA | NA |
| E-PSOLS-5 | 1.0e+00 | 1.0e+00 | 1.0e+00 | 1.0e+00 | NA | NA | NA | NA | NA | NA |
| F-PSOLS-10 | 1.0e+00 | 1.0e+00 | 1.0e+00 | 1.0e+00 | 1.5e-03 | NA | NA | NA | NA | NA |
| G-PSOLS-20 | 1.0e+00 | 1.0e+00 | 1.0e+00 | 1.0e+00 | 1.1e-06 | 6.3e-04 | NA | NA | NA | NA |
| H-EPUSLS | 1.0e+00 | 1.0e+00 | 1.0e+00 | 1.0e+00 | 1.0e+00 | 1.0e+00 | 1.0e+00 | NA | NA | NA |
| I-RLS | 1.0e+00 | 1.0e+00 | 1.0e+00 | 1.0e+00 | 1.0e+00 | 1.0e+00 | 1.0e+00 | 1.0e+00 | NA | NA |
| J-ISL | 1.0e+00 | 1.0e+00 | 1.0e+00 | 1.0e+00 | 1.0e+00 | 1.0e+00 | 1.0e+00 | 1.0e+00 | 1.0e+00 | NA |
| Z-IPSO | 7.8e-11 | 1.1e-16 | 1.1e-16 | 1.6e-14 | 1.1e-16 | 1.1e-16 | 1.1e-16 | 1.1e-16 | 1.1e-16 | 1.1e-16 |
|
| Ring topology |
| A-PSO-10 | B-PSO-100 | C-PSO-1000 | D-EPUS | E-PSOLS-5 | F-PSOLS-10 | G-PSOLS-20 | H-EPUSLS | I-RLS | J-ISL |
| B-PSO-100 | 1.0e+00 | NA | NA | NA | NA | NA | NA | NA | NA | NA |
| C-PSO-1000 | 1.0e+00 | 1.0e+00 | NA | NA | NA | NA | NA | NA | NA | NA |
| D-EPUS | 1.0e+00 | 6.8e-15 | 6.8e-15 | NA | NA | NA | NA | NA | NA | NA |
| E-PSOLS-5 | 1.0e+00 | 1.0e+00 | 1.0e+00 | 1.0e+00 | NA | NA | NA | NA | NA | NA |
| F-PSOLS-10 | 1.0e+00 | 1.0e+00 | 1.0e+00 | 1.0e+00 | 1.5e-03 | NA | NA | NA | NA | NA |
| G-PSOLS-20 | 1.0e+00 | 1.0e+00 | 1.0e+00 | 1.0e+00 | 1.1e-06 | 6.3e-04 | NA | NA | NA | NA |
| H-EPUSLS | 1.0e+00 | 1.0e+00 | 1.0e+00 | 1.0e+00 | 1.0e+00 | 1.0e+00 | 1.0e+00 | NA | NA | NA |
| I-RLS | 1.0e+00 | 1.0e+00 | 1.0e+00 | 1.0e+00 | 1.0e+00 | 1.0e+00 | 1.0e+00 | 1.0e+00 | NA | NA |
| J-ISL | 1.0e+00 | 1.0e+00 | 1.0e+00 | 1.0e+00 | 1.0e+00 | 1.0e+00 | 1.0e+00 | 1.0e+00 | 1.0e+00 | NA |
| Z-IPSO | 7.7e-12 | 1.1e-16 | 1.1e-16 | 1.9e-13 | 1.1e-16 | 1.1e-16 | 1.1e-16 | 1.1e-16 | 1.1e-16 | 1.1e-16 |
|
| Rosenbrock function - 100 dimensions |
| Fully-connected topology |
| A-PSO-10 | B-PSO-100 | C-PSO-1000 | D-EPUS | E-PSOLS-5 | F-PSOLS-10 | G-PSOLS-20 | H-EPUSLS | I-RLS | J-ISL |
| B-PSO-100 | 1.0e+00 | NA | NA | NA | NA | NA | NA | NA | NA | NA |
| C-PSO-1000 | 1.0e+00 | 1.0e+00 | NA | NA | NA | NA | NA | NA | NA | NA |
| D-EPUS | 1.0e+00 | 1.1e-16 | 1.1e-16 | NA | NA | NA | NA | NA | NA | NA |
| E-PSOLS-5 | 1.0e+00 | 1.0e+00 | 1.0e+00 | 1.0e+00 | NA | NA | NA | NA | NA | NA |
| F-PSOLS-10 | 1.0e+00 | 1.0e+00 | 1.0e+00 | 1.0e+00 | 3.1e-05 | NA | NA | NA | NA | NA |
| G-PSOLS-20 | 1.0e+00 | 1.0e+00 | 1.0e+00 | 1.0e+00 | 1.2e-11 | 1.5e-08 | NA | NA | NA | NA |
| H-EPUSLS | 1.0e+00 | 1.0e+00 | 1.0e+00 | 1.0e+00 | 1.0e+00 | 1.0e+00 | 1.0e+00 | NA | NA | NA |
| I-RLS | 1.0e+00 | 1.0e+00 | 1.0e+00 | 1.0e+00 | 1.0e+00 | 1.0e+00 | 1.0e+00 | 1.0e+00 | NA | NA |
| J-ISL | 1.0e+00 | 1.0e+00 | 1.0e+00 | 1.0e+00 | 1.0e+00 | 1.0e+00 | 1.0e+00 | 1.0e+00 | 1.0e+00 | NA |
| Z-IPSO | 6.0e-14 | 1.1e-16 | 1.1e-16 | 2.1e-15 | 1.1e-16 | 1.1e-16 | 1.1e-16 | 1.1e-16 | 1.1e-16 | 1.1e-16 |
|
| Ring topology |
| A-PSO-10 | B-PSO-100 | C-PSO-1000 | D-EPUS | E-PSOLS-5 | F-PSOLS-10 | G-PSOLS-20 | H-EPUSLS | I-RLS | J-ISL |
| B-PSO-100 | 1.0e+00 | NA | NA | NA | NA | NA | NA | NA | NA | NA |
| C-PSO-1000 | 1.0e+00 | 1.0e+00 | NA | NA | NA | NA | NA | NA | NA | NA |
| D-EPUS | 1.0e+00 | 2.3e-16 | 2.3e-16 | NA | NA | NA | NA | NA | NA | NA |
| E-PSOLS-5 | 1.0e+00 | 1.0e+00 | 1.0e+00 | 1.0e+00 | NA | NA | NA | NA | NA | NA |
| F-PSOLS-10 | 1.0e+00 | 1.0e+00 | 1.0e+00 | 1.0e+00 | 3.1e-05 | NA | NA | NA | NA | NA |
| G-PSOLS-20 | 1.0e+00 | 1.0e+00 | 1.0e+00 | 1.0e+00 | 1.2e-11 | 1.5e-08 | NA | NA | NA | NA |
| H-EPUSLS | 1.0e+00 | 1.0e+00 | 1.0e+00 | 1.0e+00 | 1.0e+00 | 1.0e+00 | 1.0e+00 | NA | NA | NA |
| I-RLS | 1.0e+00 | 1.0e+00 | 1.0e+00 | 1.0e+00 | 1.0e+00 | 1.0e+00 | 1.0e+00 | 1.0e+00 | NA | NA |
| J-ISL | 1.0e+00 | 1.0e+00 | 1.0e+00 | 1.0e+00 | 1.0e+00 | 1.0e+00 | 1.0e+00 | 1.0e+00 | 1.0e+00 | NA |
| Z-IPSO | 1.5e-15 | 1.1e-16 | 1.1e-16 | 1.5e-15 | 1.1e-16 | 1.1e-16 | 1.1e-16 | 1.1e-16 | 1.1e-16 | 1.1e-16 |
|
| Salomon function - 100 dimensions |
| Fully-connected topology |
| A-PSO-10 | B-PSO-100 | C-PSO-1000 | D-EPUS | E-PSOLS-5 | F-PSOLS-10 | G-PSOLS-20 | H-EPUSLS | I-RLS | J-ISL |
| B-PSO-100 | 1.0e+00 | NA | NA | NA | NA | NA | NA | NA | NA | NA |
| C-PSO-1000 | 1.0e+00 | 1.0e+00 | NA | NA | NA | NA | NA | NA | NA | NA |
| D-EPUS | 1.0e+00 | 1.1e-14 | 1.1e-14 | NA | NA | NA | NA | NA | NA | NA |
| E-PSOLS-5 | 1.0e+00 | 1.0e+00 | 1.0e+00 | 1.0e+00 | NA | NA | NA | NA | NA | NA |
| F-PSOLS-10 | 1.0e+00 | 1.0e+00 | 1.0e+00 | 1.0e+00 | 5.6e-08 | NA | NA | NA | NA | NA |
| G-PSOLS-20 | 1.0e+00 | 1.0e+00 | 1.0e+00 | 1.0e+00 | 2.6e-12 | 8.1e-09 | NA | NA | NA | NA |
| H-EPUSLS | 1.0e+00 | 1.0e+00 | 1.0e+00 | 1.0e+00 | 1.0e+00 | 1.0e+00 | 1.0e+00 | NA | NA | NA |
| I-RLS | 1.0e+00 | 1.0e+00 | 1.0e+00 | 1.0e+00 | 1.0e+00 | 1.0e+00 | 1.0e+00 | 1.0e+00 | NA | NA |
| J-ISL | 1.0e+00 | 1.0e+00 | 1.0e+00 | 1.0e+00 | 1.0e+00 | 1.0e+00 | 1.0e+00 | 1.0e+00 | 1.0e+00 | NA |
| Z-IPSO | 8.8e-10 | 1.1e-16 | 1.1e-16 | 5.3e-16 | 1.1e-16 | 1.1e-16 | 1.1e-16 | 1.1e-16 | 1.1e-16 | 1.1e-16 |
|
| Ring topology |
| A-PSO-10 | B-PSO-100 | C-PSO-1000 | D-EPUS | E-PSOLS-5 | F-PSOLS-10 | G-PSOLS-20 | H-EPUSLS | I-RLS | J-ISL |
| B-PSO-100 | 1.0e+00 | NA | NA | NA | NA | NA | NA | NA | NA | NA |
| C-PSO-1000 | 1.0e+00 | 1.0e+00 | NA | NA | NA | NA | NA | NA | NA | NA |
| D-EPUS | 1.0e+00 | 1.6e-14 | 1.6e-14 | NA | NA | NA | NA | NA | NA | NA |
| E-PSOLS-5 | 1.0e+00 | 1.0e+00 | 1.0e+00 | 1.0e+00 | NA | NA | NA | NA | NA | NA |
| F-PSOLS-10 | 1.0e+00 | 1.0e+00 | 1.0e+00 | 1.0e+00 | 5.6e-08 | NA | NA | NA | NA | NA |
| G-PSOLS-20 | 1.0e+00 | 1.0e+00 | 1.0e+00 | 1.0e+00 | 2.6e-12 | 8.1e-09 | NA | NA | NA | NA |
| H-EPUSLS | 1.0e+00 | 1.0e+00 | 1.0e+00 | 1.0e+00 | 1.0e+00 | 1.0e+00 | 1.0e+00 | NA | NA | NA |
| I-RLS | 1.0e+00 | 1.0e+00 | 1.0e+00 | 1.0e+00 | 1.0e+00 | 1.0e+00 | 1.0e+00 | 1.0e+00 | NA | NA |
| J-ISL | 1.0e+00 | 1.0e+00 | 1.0e+00 | 1.0e+00 | 1.0e+00 | 1.0e+00 | 1.0e+00 | 1.0e+00 | 1.0e+00 | NA |
| Z-IPSO | 9.8e-14 | 1.1e-16 | 1.1e-16 | 4.3e-15 | 1.1e-16 | 1.1e-16 | 1.1e-16 | 1.1e-16 | 1.1e-16 | 1.1e-16 |
|
| Schaffer function - 100 dimensions |
| Fully-connected topology |
| A-PSO-10 | B-PSO-100 | C-PSO-1000 | D-EPUS | E-PSOLS-5 | F-PSOLS-10 | G-PSOLS-20 | H-EPUSLS | I-RLS | J-ISL |
| B-PSO-100 | 1.0e+00 | NA | NA | NA | NA | NA | NA | NA | NA | NA |
| C-PSO-1000 | 1.0e+00 | 1.0e+00 | NA | NA | NA | NA | NA | NA | NA | NA |
| D-EPUS | 1.0e+00 | 1.0e+00 | 1.0e+00 | NA | NA | NA | NA | NA | NA | NA |
| E-PSOLS-5 | 1.0e+00 | 1.0e+00 | 1.0e+00 | 1.0e+00 | NA | NA | NA | NA | NA | NA |
| F-PSOLS-10 | 1.0e+00 | 1.0e+00 | 1.0e+00 | 1.0e+00 | 2.0e-06 | NA | NA | NA | NA | NA |
| G-PSOLS-20 | 1.0e+00 | 1.0e+00 | 1.0e+00 | 1.0e+00 | 2.3e-09 | 1.4e-04 | NA | NA | NA | NA |
| H-EPUSLS | 1.0e+00 | 1.0e+00 | 1.0e+00 | 1.0e+00 | 1.0e+00 | 1.0e+00 | 1.0e+00 | NA | NA | NA |
| I-RLS | 1.0e+00 | 1.0e+00 | 1.0e+00 | 1.0e+00 | 1.0e+00 | 1.0e+00 | 1.0e+00 | 1.0e+00 | NA | NA |
| J-ISL | 1.0e+00 | 1.0e+00 | 1.0e+00 | 1.0e+00 | 1.0e+00 | 1.0e+00 | 1.0e+00 | 1.0e+00 | 1.0e+00 | NA |
| Z-IPSO | 1.0e+00 | 1.0e+00 | 1.0e+00 | 1.0e+00 | 1.3e-13 | 2.3e-11 | 4.2e-08 | 3.0e-16 | 8.7e-15 | 8.7e-15 |
|
| Ring topology |
| A-PSO-10 | B-PSO-100 | C-PSO-1000 | D-EPUS | E-PSOLS-5 | F-PSOLS-10 | G-PSOLS-20 | H-EPUSLS | I-RLS | J-ISL |
| B-PSO-100 | 1.0e+00 | NA | NA | NA | NA | NA | NA | NA | NA | NA |
| C-PSO-1000 | 1.0e+00 | 1.0e+00 | NA | NA | NA | NA | NA | NA | NA | NA |
| D-EPUS | 1.0e+00 | 1.0e+00 | 1.0e+00 | NA | NA | NA | NA | NA | NA | NA |
| E-PSOLS-5 | 1.0e+00 | 1.0e+00 | 1.0e+00 | 1.0e+00 | NA | NA | NA | NA | NA | NA |
| F-PSOLS-10 | 1.0e+00 | 1.0e+00 | 1.0e+00 | 1.0e+00 | 2.0e-06 | NA | NA | NA | NA | NA |
| G-PSOLS-20 | 1.0e+00 | 1.0e+00 | 1.0e+00 | 1.0e+00 | 2.3e-09 | 1.4e-04 | NA | NA | NA | NA |
| H-EPUSLS | 1.0e+00 | 1.0e+00 | 1.0e+00 | 1.0e+00 | 1.0e+00 | 1.0e+00 | 1.0e+00 | NA | NA | NA |
| I-RLS | 1.0e+00 | 1.0e+00 | 1.0e+00 | 1.0e+00 | 1.0e+00 | 1.0e+00 | 1.0e+00 | 1.0e+00 | NA | NA |
| J-ISL | 1.0e+00 | 1.0e+00 | 1.0e+00 | 1.0e+00 | 1.0e+00 | 1.0e+00 | 1.0e+00 | 1.0e+00 | 1.0e+00 | NA |
| Z-IPSO | 1.0e+00 | 1.0e+00 | 1.0e+00 | 1.0e+00 | 1.1e-13 | 6.6e-12 | 4.3e-08 | 8.0e-16 | 6.4e-15 | 6.4e-15 |
|
| Schwefel function - 100 dimensions |
| Fully-connected topology |
| A-PSO-10 | B-PSO-100 | C-PSO-1000 | D-EPUS | E-PSOLS-5 | F-PSOLS-10 | G-PSOLS-20 | H-EPUSLS | I-RLS | J-ISL |
| B-PSO-100 | 1.0e+00 | NA | NA | NA | NA | NA | NA | NA | NA | NA |
| C-PSO-1000 | 1.0e+00 | 1.0e+00 | NA | NA | NA | NA | NA | NA | NA | NA |
| D-EPUS | 1.0e+00 | 1.0e+00 | 1.0e+00 | NA | NA | NA | NA | NA | NA | NA |
| E-PSOLS-5 | 1.0e+00 | 1.0e+00 | 1.0e+00 | 1.0e+00 | NA | NA | NA | NA | NA | NA |
| F-PSOLS-10 | 1.0e+00 | 1.0e+00 | 1.0e+00 | 1.0e+00 | 8.7e-02 | NA | NA | NA | NA | NA |
| G-PSOLS-20 | 1.0e+00 | 1.0e+00 | 1.0e+00 | 1.5e-01 | 2.4e-06 | 4.8e-03 | NA | NA | NA | NA |
| H-EPUSLS | 1.0e+00 | 1.0e+00 | 1.0e+00 | 1.0e+00 | 1.0e+00 | 1.0e+00 | 1.0e+00 | NA | NA | NA |
| I-RLS | 1.0e+00 | 1.0e+00 | 1.0e+00 | 1.0e+00 | 1.0e+00 | 1.0e+00 | 1.0e+00 | 1.0e+00 | NA | NA |
| J-ISL | 1.0e+00 | 1.0e+00 | 1.0e+00 | 1.0e+00 | 1.0e+00 | 1.0e+00 | 1.0e+00 | 1.0e+00 | 1.0e+00 | NA |
| Z-IPSO | 1.0e+00 | 2.7e-07 | 2.7e-07 | 4.8e-15 | 4.1e-15 | 9.6e-15 | 1.3e-13 | 2.3e-15 | 1.4e-15 | 1.4e-15 |
|
| Ring topology |
| A-PSO-10 | B-PSO-100 | C-PSO-1000 | D-EPUS | E-PSOLS-5 | F-PSOLS-10 | G-PSOLS-20 | H-EPUSLS | I-RLS | J-ISL |
| B-PSO-100 | 1.0e+00 | NA | NA | NA | NA | NA | NA | NA | NA | NA |
| C-PSO-1000 | 1.0e+00 | 1.0e+00 | NA | NA | NA | NA | NA | NA | NA | NA |
| D-EPUS | 1.0e+00 | 1.0e+00 | 1.0e+00 | NA | NA | NA | NA | NA | NA | NA |
| E-PSOLS-5 | 1.0e+00 | 1.0e+00 | 1.0e+00 | 1.0e+00 | NA | NA | NA | NA | NA | NA |
| F-PSOLS-10 | 1.0e+00 | 1.0e+00 | 1.0e+00 | 1.0e+00 | 8.5e-02 | NA | NA | NA | NA | NA |
| G-PSOLS-20 | 1.0e+00 | 1.0e+00 | 1.0e+00 | 2.2e-02 | 2.6e-06 | 5.0e-03 | NA | NA | NA | NA |
| H-EPUSLS | 1.0e+00 | 1.0e+00 | 1.0e+00 | 1.0e+00 | 1.0e+00 | 1.0e+00 | 1.0e+00 | NA | NA | NA |
| I-RLS | 1.0e+00 | 1.0e+00 | 1.0e+00 | 1.0e+00 | 1.0e+00 | 1.0e+00 | 1.0e+00 | 1.0e+00 | NA | NA |
| J-ISL | 1.0e+00 | 1.0e+00 | 1.0e+00 | 1.0e+00 | 1.0e+00 | 1.0e+00 | 1.0e+00 | 1.0e+00 | 1.0e+00 | NA |
| Z-IPSO | 1.0e+00 | 1.4e-02 | 1.4e-02 | 2.5e-14 | 9.1e-14 | 2.7e-13 | 1.3e-12 | 1.2e-13 | 8.9e-15 | 8.9e-15 |
|
| Sphere function - 100 dimensions |
| Fully-connected topology |
| A-PSO-10 | B-PSO-100 | C-PSO-1000 | D-EPUS | E-PSOLS-5 | F-PSOLS-10 | G-PSOLS-20 | H-EPUSLS | I-RLS | J-ISL |
| B-PSO-100 | 1.0e+00 | NA | NA | NA | NA | NA | NA | NA | NA | NA |
| C-PSO-1000 | 1.0e+00 | 1.0e+00 | NA | NA | NA | NA | NA | NA | NA | NA |
| D-EPUS | 1.0e+00 | 1.7e-15 | 1.7e-15 | NA | NA | NA | NA | NA | NA | NA |
| E-PSOLS-5 | 1.0e+00 | 1.0e+00 | 1.0e+00 | 1.0e+00 | NA | NA | NA | NA | NA | NA |
| F-PSOLS-10 | 1.0e+00 | 1.0e+00 | 1.0e+00 | 1.0e+00 | 1.7e-03 | NA | NA | NA | NA | NA |
| G-PSOLS-20 | 1.0e+00 | 1.0e+00 | 1.0e+00 | 1.0e+00 | 2.2e-05 | 4.0e-02 | NA | NA | NA | NA |
| H-EPUSLS | 1.0e+00 | 1.0e+00 | 1.0e+00 | 1.0e+00 | 1.0e+00 | 1.0e+00 | 1.0e+00 | NA | NA | NA |
| I-RLS | 1.0e+00 | 1.0e+00 | 1.0e+00 | 1.0e+00 | 1.0e+00 | 1.0e+00 | 1.0e+00 | 1.0e+00 | NA | NA |
| J-ISL | 1.0e+00 | 1.0e+00 | 1.0e+00 | 1.0e+00 | 1.0e+00 | 1.0e+00 | 1.0e+00 | 1.0e+00 | 1.0e+00 | NA |
| Z-IPSO | 2.7e-09 | 1.1e-16 | 1.1e-16 | 2.8e-14 | 1.1e-16 | 1.1e-16 | 1.1e-16 | 1.1e-16 | 1.1e-16 | 1.1e-16 |
|
| Ring topology |
| A-PSO-10 | B-PSO-100 | C-PSO-1000 | D-EPUS | E-PSOLS-5 | F-PSOLS-10 | G-PSOLS-20 | H-EPUSLS | I-RLS | J-ISL |
| B-PSO-100 | 1.0e+00 | NA | NA | NA | NA | NA | NA | NA | NA | NA |
| C-PSO-1000 | 1.0e+00 | 1.0e+00 | NA | NA | NA | NA | NA | NA | NA | NA |
| D-EPUS | 1.0e+00 | 2.8e-15 | 2.8e-15 | NA | NA | NA | NA | NA | NA | NA |
| E-PSOLS-5 | 1.0e+00 | 1.0e+00 | 1.0e+00 | 1.0e+00 | NA | NA | NA | NA | NA | NA |
| F-PSOLS-10 | 1.0e+00 | 1.0e+00 | 1.0e+00 | 1.0e+00 | 1.7e-03 | NA | NA | NA | NA | NA |
| G-PSOLS-20 | 1.0e+00 | 1.0e+00 | 1.0e+00 | 1.0e+00 | 2.2e-05 | 4.0e-02 | NA | NA | NA | NA |
| H-EPUSLS | 1.0e+00 | 1.0e+00 | 1.0e+00 | 1.0e+00 | 1.0e+00 | 1.0e+00 | 1.0e+00 | NA | NA | NA |
| I-RLS | 1.0e+00 | 1.0e+00 | 1.0e+00 | 1.0e+00 | 1.0e+00 | 1.0e+00 | 1.0e+00 | 1.0e+00 | NA | NA |
| J-ISL | 1.0e+00 | 1.0e+00 | 1.0e+00 | 1.0e+00 | 1.0e+00 | 1.0e+00 | 1.0e+00 | 1.0e+00 | 1.0e+00 | NA |
| Z-IPSO | 6.5e-13 | 1.1e-16 | 1.1e-16 | 9.7e-15 | 1.1e-16 | 1.1e-16 | 1.1e-16 | 1.1e-16 | 1.1e-16 | 1.1e-16 |
|
| Step function - 100 dimensions |
| Fully-connected topology |
| A-PSO-10 | B-PSO-100 | C-PSO-1000 | D-EPUS | E-PSOLS-5 | F-PSOLS-10 | G-PSOLS-20 | H-EPUSLS | I-RLS | J-ISL |
| B-PSO-100 | 1.0e+00 | NA | NA | NA | NA | NA | NA | NA | NA | NA |
| C-PSO-1000 | 1.0e+00 | 1.0e+00 | NA | NA | NA | NA | NA | NA | NA | NA |
| D-EPUS | 1.0e+00 | 1.0e+00 | 1.0e+00 | NA | NA | NA | NA | NA | NA | NA |
| E-PSOLS-5 | 1.0e+00 | 1.0e+00 | 1.0e+00 | 1.0e+00 | NA | NA | NA | NA | NA | NA |
| F-PSOLS-10 | 1.0e+00 | 1.0e+00 | 1.0e+00 | 5.9e-01 | 1.2e-03 | NA | NA | NA | NA | NA |
| G-PSOLS-20 | 1.0e+00 | 1.0e+00 | 1.0e+00 | 4.5e-06 | 1.4e-08 | 1.0e-05 | NA | NA | NA | NA |
| H-EPUSLS | 1.0e+00 | 1.0e+00 | 1.0e+00 | 1.0e+00 | 1.0e+00 | 1.0e+00 | 1.0e+00 | NA | NA | NA |
| I-RLS | 1.0e+00 | 1.0e+00 | 1.0e+00 | 1.0e+00 | 1.0e+00 | 1.0e+00 | 1.0e+00 | 1.0e+00 | NA | NA |
| J-ISL | 1.0e+00 | 1.0e+00 | 1.0e+00 | 1.0e+00 | 1.0e+00 | 1.0e+00 | 1.0e+00 | 1.0e+00 | 1.0e+00 | NA |
| Z-IPSO | 1.0e+00 | 1.1e-16 | 1.1e-16 | 1.1e-16 | 1.1e-16 | 1.1e-16 | 1.1e-16 | 1.1e-16 | 1.1e-16 | 1.1e-16 |
|
| Ring topology |
| A-PSO-10 | B-PSO-100 | C-PSO-1000 | D-EPUS | E-PSOLS-5 | F-PSOLS-10 | G-PSOLS-20 | H-EPUSLS | I-RLS | J-ISL |
| B-PSO-100 | 1.0e+00 | NA | NA | NA | NA | NA | NA | NA | NA | NA |
| C-PSO-1000 | 1.0e+00 | 1.0e+00 | NA | NA | NA | NA | NA | NA | NA | NA |
| D-EPUS | 1.0e+00 | 1.0e+00 | 1.0e+00 | NA | NA | NA | NA | NA | NA | NA |
| E-PSOLS-5 | 1.0e+00 | 1.0e+00 | 1.0e+00 | 1.0e+00 | NA | NA | NA | NA | NA | NA |
| F-PSOLS-10 | 1.0e+00 | 1.0e+00 | 1.0e+00 | 7.9e-01 | 1.2e-03 | NA | NA | NA | NA | NA |
| G-PSOLS-20 | 1.0e+00 | 1.0e+00 | 1.0e+00 | 4.8e-06 | 1.4e-08 | 1.0e-05 | NA | NA | NA | NA |
| H-EPUSLS | 1.0e+00 | 1.0e+00 | 1.0e+00 | 1.0e+00 | 1.0e+00 | 1.0e+00 | 1.0e+00 | NA | NA | NA |
| I-RLS | 1.0e+00 | 1.0e+00 | 1.0e+00 | 1.0e+00 | 1.0e+00 | 1.0e+00 | 1.0e+00 | 1.0e+00 | NA | NA |
| J-ISL | 1.0e+00 | 1.0e+00 | 1.0e+00 | 1.0e+00 | 1.0e+00 | 1.0e+00 | 1.0e+00 | 1.0e+00 | 1.0e+00 | NA |
| Z-IPSO | 1.0e+00 | 2.6e-16 | 2.6e-16 | 1.1e-16 | 1.1e-16 | 1.1e-16 | 1.2e-16 | 1.1e-16 | 1.1e-16 | 1.1e-16 |
|
| Weierstrass function - 100 dimensions |
| Fully-connected topology |
| A-PSO-10 | B-PSO-100 | C-PSO-1000 | D-EPUS | E-PSOLS-5 | F-PSOLS-10 | G-PSOLS-20 | H-EPUSLS | I-RLS | J-ISL |
| B-PSO-100 | 1.0e+00 | NA | NA | NA | NA | NA | NA | NA | NA | NA |
| C-PSO-1000 | 1.0e+00 | 1.0e+00 | NA | NA | NA | NA | NA | NA | NA | NA |
| D-EPUS | 1.0e+00 | 1.0e+00 | 1.0e+00 | NA | NA | NA | NA | NA | NA | NA |
| E-PSOLS-5 | 1.0e+00 | 1.0e+00 | 1.0e+00 | 1.0e+00 | NA | NA | NA | NA | NA | NA |
| F-PSOLS-10 | 1.0e+00 | 1.0e+00 | 1.0e+00 | 1.0e+00 | 1.0e+00 | NA | NA | NA | NA | NA |
| G-PSOLS-20 | 1.0e+00 | 1.0e+00 | 1.0e+00 | 1.0e+00 | 1.0e+00 | 1.0e+00 | NA | NA | NA | NA |
| H-EPUSLS | 1.0e+00 | 1.0e+00 | 1.0e+00 | 1.0e+00 | 1.0e+00 | 1.0e+00 | 1.0e+00 | NA | NA | NA |
| I-RLS | 1.0e+00 | 1.0e+00 | 1.0e+00 | 1.0e+00 | 8.9e-01 | 1.0e+00 | 1.0e+00 | 1.0e+00 | NA | NA |
| J-ISL | 1.0e+00 | 1.0e+00 | 1.0e+00 | 1.0e+00 | 8.9e-01 | 1.0e+00 | 1.0e+00 | 1.0e+00 | 1.0e+00 | NA |
| Z-IPSO | 7.3e-03 | 7.6e-15 | 7.6e-15 | 2.9e-15 | 1.3e-14 | 7.3e-15 | 5.1e-15 | 1.2e-15 | 9.9e-15 | 9.9e-15 |
|
| Ring topology |
| A-PSO-10 | B-PSO-100 | C-PSO-1000 | D-EPUS | E-PSOLS-5 | F-PSOLS-10 | G-PSOLS-20 | H-EPUSLS | I-RLS | J-ISL |
| B-PSO-100 | 1.0e+00 | NA | NA | NA | NA | NA | NA | NA | NA | NA |
| C-PSO-1000 | 1.0e+00 | 1.0e+00 | NA | NA | NA | NA | NA | NA | NA | NA |
| D-EPUS | 1.0e+00 | 1.0e+00 | 1.0e+00 | NA | NA | NA | NA | NA | NA | NA |
| E-PSOLS-5 | 1.0e+00 | 1.0e+00 | 1.0e+00 | 1.0e+00 | NA | NA | NA | NA | NA | NA |
| F-PSOLS-10 | 1.0e+00 | 1.0e+00 | 1.0e+00 | 1.0e+00 | 1.0e+00 | NA | NA | NA | NA | NA |
| G-PSOLS-20 | 1.0e+00 | 1.0e+00 | 1.0e+00 | 4.0e-01 | 1.0e+00 | 1.0e+00 | NA | NA | NA | NA |
| H-EPUSLS | 1.0e+00 | 1.0e+00 | 1.0e+00 | 1.0e+00 | 1.0e+00 | 1.0e+00 | 1.0e+00 | NA | NA | NA |
| I-RLS | 1.0e+00 | 1.0e+00 | 1.0e+00 | 1.0e+00 | 8.9e-01 | 1.0e+00 | 1.0e+00 | 1.0e+00 | NA | NA |
| J-ISL | 1.0e+00 | 1.0e+00 | 1.0e+00 | 1.0e+00 | 1.0e+00 | 1.0e+00 | 1.0e+00 | 1.0e+00 | 1.0e+00 | NA |
| Z-IPSO | 1.0e+00 | 5.8e-08 | 5.8e-08 | 3.4e-13 | 7.2e-11 | 3.1e-11 | 2.2e-11 | 7.0e-12 | 6.3e-11 | 4.7e-12 |
|
Differences after 1000 function evaluations
| Ackley function - 100 dimensions |
| Fully-connected topology |
| A-PSO-10 | B-PSO-100 | C-PSO-1000 | D-EPUS | E-PSOLS-5 | F-PSOLS-10 | G-PSOLS-20 | H-EPUSLS | I-RLS | J-ISL |
| B-PSO-100 | 1.0e+00 | NA | NA | NA | NA | NA | NA | NA | NA | NA |
| C-PSO-1000 | 1.0e+00 | 1.0e+00 | NA | NA | NA | NA | NA | NA | NA | NA |
| D-EPUS | 1.0e+00 | 1.0e+00 | 1.6e-11 | NA | NA | NA | NA | NA | NA | NA |
| E-PSOLS-5 | 1.1e-16 | 1.1e-16 | 1.1e-16 | 1.1e-16 | NA | NA | NA | NA | NA | NA |
| F-PSOLS-10 | 1.1e-16 | 1.1e-16 | 1.1e-16 | 1.1e-16 | 1.0e+00 | NA | NA | NA | NA | NA |
| G-PSOLS-20 | 1.1e-16 | 1.1e-16 | 1.1e-16 | 1.1e-16 | 1.0e+00 | 1.0e+00 | NA | NA | NA | NA |
| H-EPUSLS | 1.1e-16 | 1.1e-16 | 1.1e-16 | 1.1e-16 | 1.0e+00 | 1.0e+00 | 1.0e+00 | NA | NA | NA |
| I-RLS | 1.1e-16 | 1.1e-16 | 1.1e-16 | 1.1e-16 | 9.3e-10 | 3.6e-14 | 1.3e-16 | 1.0e+00 | NA | NA |
| J-ISL | 1.1e-16 | 1.1e-16 | 1.1e-16 | 1.1e-16 | 9.3e-10 | 3.6e-14 | 1.3e-16 | 1.0e+00 | 1.0e+00 | NA |
| Z-IPSO | 9.1e-03 | 7.5e-05 | 1.1e-16 | 3.5e-11 | 1.0e+00 | 1.0e+00 | 1.0e+00 | 1.0e+00 | 1.0e+00 | 1.0e+00 |
|
| Ring topology |
| A-PSO-10 | B-PSO-100 | C-PSO-1000 | D-EPUS | E-PSOLS-5 | F-PSOLS-10 | G-PSOLS-20 | H-EPUSLS | I-RLS | J-ISL |
| B-PSO-100 | 1.0e+00 | NA | NA | NA | NA | NA | NA | NA | NA | NA |
| C-PSO-1000 | 1.0e+00 | 1.0e+00 | NA | NA | NA | NA | NA | NA | NA | NA |
| D-EPUS | 1.0e+00 | 1.0e+00 | 7.9e-12 | NA | NA | NA | NA | NA | NA | NA |
| E-PSOLS-5 | 8.4e-16 | 1.1e-16 | 1.1e-16 | 1.1e-16 | NA | NA | NA | NA | NA | NA |
| F-PSOLS-10 | 8.4e-16 | 1.1e-16 | 1.1e-16 | 1.1e-16 | 1.0e+00 | NA | NA | NA | NA | NA |
| G-PSOLS-20 | 9.0e-16 | 1.1e-16 | 1.1e-16 | 1.1e-16 | 1.0e+00 | 1.0e+00 | NA | NA | NA | NA |
| H-EPUSLS | 9.8e-16 | 1.1e-16 | 1.1e-16 | 1.1e-16 | 1.0e+00 | 1.0e+00 | 1.0e+00 | NA | NA | NA |
| I-RLS | 8.4e-16 | 1.1e-16 | 1.1e-16 | 1.1e-16 | 8.9e-10 | 3.3e-14 | 1.5e-16 | 1.0e+00 | NA | NA |
| J-ISL | 8.4e-16 | 1.1e-16 | 1.1e-16 | 1.1e-16 | 8.9e-10 | 3.3e-14 | 1.5e-16 | 1.0e+00 | 1.0e+00 | NA |
| Z-IPSO | 4.9e-01 | 1.2e-16 | 1.1e-16 | 2.4e-16 | 1.0e+00 | 1.0e+00 | 1.0e+00 | 1.0e+00 | 1.0e+00 | 1.0e+00 |
|
| Griewank function - 100 dimensions |
| Fully-connected topology |
| A-PSO-10 | B-PSO-100 | C-PSO-1000 | D-EPUS | E-PSOLS-5 | F-PSOLS-10 | G-PSOLS-20 | H-EPUSLS | I-RLS | J-ISL |
| B-PSO-100 | 1.0e+00 | NA | NA | NA | NA | NA | NA | NA | NA | NA |
| C-PSO-1000 | 1.0e+00 | 1.0e+00 | NA | NA | NA | NA | NA | NA | NA | NA |
| D-EPUS | 1.0e+00 | 4.9e-11 | 1.1e-16 | NA | NA | NA | NA | NA | NA | NA |
| E-PSOLS-5 | 1.1e-16 | 1.1e-16 | 1.1e-16 | 1.1e-16 | NA | NA | NA | NA | NA | NA |
| F-PSOLS-10 | 1.1e-16 | 1.1e-16 | 1.1e-16 | 1.1e-16 | 1.0e+00 | NA | NA | NA | NA | NA |
| G-PSOLS-20 | 1.1e-16 | 1.1e-16 | 1.1e-16 | 1.1e-16 | 1.0e+00 | 1.0e+00 | NA | NA | NA | NA |
| H-EPUSLS | 1.1e-16 | 1.1e-16 | 1.1e-16 | 1.1e-16 | 1.0e+00 | 1.0e+00 | 1.0e+00 | NA | NA | NA |
| I-RLS | 1.1e-16 | 1.1e-16 | 1.1e-16 | 1.1e-16 | 1.0e+00 | 1.0e+00 | 1.0e+00 | 1.0e+00 | NA | NA |
| J-ISL | 1.1e-16 | 1.1e-16 | 1.1e-16 | 1.1e-16 | 1.0e+00 | 1.0e+00 | 1.0e+00 | 1.0e+00 | 1.0e+00 | NA |
| Z-IPSO | 1.0e+00 | 1.1e-16 | 1.1e-16 | 1.4e-14 | 1.0e+00 | 1.0e+00 | 1.0e+00 | 1.0e+00 | 1.0e+00 | 1.0e+00 |
|
| Ring topology |
| A-PSO-10 | B-PSO-100 | C-PSO-1000 | D-EPUS | E-PSOLS-5 | F-PSOLS-10 | G-PSOLS-20 | H-EPUSLS | I-RLS | J-ISL |
| B-PSO-100 | 1.0e+00 | NA | NA | NA | NA | NA | NA | NA | NA | NA |
| C-PSO-1000 | 1.0e+00 | 1.0e+00 | NA | NA | NA | NA | NA | NA | NA | NA |
| D-EPUS | 1.0e+00 | 1.1e-16 | 1.1e-16 | NA | NA | NA | NA | NA | NA | NA |
| E-PSOLS-5 | 1.1e-16 | 1.1e-16 | 1.1e-16 | 1.1e-16 | NA | NA | NA | NA | NA | NA |
| F-PSOLS-10 | 1.1e-16 | 1.1e-16 | 1.1e-16 | 1.1e-16 | 1.0e+00 | NA | NA | NA | NA | NA |
| G-PSOLS-20 | 1.1e-16 | 1.1e-16 | 1.1e-16 | 1.1e-16 | 1.0e+00 | 1.0e+00 | NA | NA | NA | NA |
| H-EPUSLS | 1.1e-16 | 1.1e-16 | 1.1e-16 | 1.1e-16 | 1.0e+00 | 1.0e+00 | 1.0e+00 | NA | NA | NA |
| I-RLS | 1.1e-16 | 1.1e-16 | 1.1e-16 | 1.1e-16 | 1.0e+00 | 1.0e+00 | 1.0e+00 | 1.0e+00 | NA | NA |
| J-ISL | 1.1e-16 | 1.1e-16 | 1.1e-16 | 1.1e-16 | 1.0e+00 | 1.0e+00 | 1.0e+00 | 1.0e+00 | 1.0e+00 | NA |
| Z-IPSO | 1.0e+00 | 1.1e-16 | 1.1e-16 | 1.0e+00 | 1.0e+00 | 1.0e+00 | 1.0e+00 | 1.0e+00 | 1.0e+00 | 1.0e+00 |
|
| Rastrigin function - 100 dimensions |
| Fully-connected topology |
| A-PSO-10 | B-PSO-100 | C-PSO-1000 | D-EPUS | E-PSOLS-5 | F-PSOLS-10 | G-PSOLS-20 | H-EPUSLS | I-RLS | J-ISL |
| B-PSO-100 | 1.0e+00 | NA | NA | NA | NA | NA | NA | NA | NA | NA |
| C-PSO-1000 | 1.0e+00 | 1.0e+00 | NA | NA | NA | NA | NA | NA | NA | NA |
| D-EPUS | 1.0e+00 | 2.5e-04 | 1.1e-16 | NA | NA | NA | NA | NA | NA | NA |
| E-PSOLS-5 | 1.1e-16 | 1.1e-16 | 1.1e-16 | 1.1e-16 | NA | NA | NA | NA | NA | NA |
| F-PSOLS-10 | 1.1e-16 | 1.1e-16 | 1.1e-16 | 1.1e-16 | 1.0e+00 | NA | NA | NA | NA | NA |
| G-PSOLS-20 | 1.1e-16 | 1.1e-16 | 1.1e-16 | 1.1e-16 | 1.0e+00 | 1.0e+00 | NA | NA | NA | NA |
| H-EPUSLS | 1.1e-16 | 1.1e-16 | 1.1e-16 | 1.1e-16 | 2.2e-01 | 2.1e-02 | 2.9e-04 | NA | NA | NA |
| I-RLS | 1.1e-16 | 1.1e-16 | 1.1e-16 | 1.1e-16 | 6.5e-13 | 2.4e-16 | 1.1e-16 | 1.0e+00 | NA | NA |
| J-ISL | 1.1e-16 | 1.1e-16 | 1.1e-16 | 1.1e-16 | 6.5e-13 | 2.4e-16 | 1.1e-16 | 1.0e+00 | 1.0e+00 | NA |
| Z-IPSO | 1.0e+00 | 1.6e-14 | 1.1e-16 | 1.6e-03 | 1.0e+00 | 1.0e+00 | 1.0e+00 | 1.0e+00 | 1.0e+00 | 1.0e+00 |
|
| Ring topology |
| A-PSO-10 | B-PSO-100 | C-PSO-1000 | D-EPUS | E-PSOLS-5 | F-PSOLS-10 | G-PSOLS-20 | H-EPUSLS | I-RLS | J-ISL |
| B-PSO-100 | 1.0e+00 | NA | NA | NA | NA | NA | NA | NA | NA | NA |
| C-PSO-1000 | 1.0e+00 | 1.0e+00 | NA | NA | NA | NA | NA | NA | NA | NA |
| D-EPUS | 1.0e+00 | 1.6e-14 | 1.1e-16 | NA | NA | NA | NA | NA | NA | NA |
| E-PSOLS-5 | 1.1e-16 | 1.1e-16 | 1.1e-16 | 1.1e-16 | NA | NA | NA | NA | NA | NA |
| F-PSOLS-10 | 1.1e-16 | 1.1e-16 | 1.1e-16 | 1.1e-16 | 1.0e+00 | NA | NA | NA | NA | NA |
| G-PSOLS-20 | 1.1e-16 | 1.1e-16 | 1.1e-16 | 1.1e-16 | 1.0e+00 | 1.0e+00 | NA | NA | NA | NA |
| H-EPUSLS | 1.1e-16 | 1.1e-16 | 1.1e-16 | 1.1e-16 | 2.2e-01 | 2.1e-02 | 2.8e-04 | NA | NA | NA |
| I-RLS | 1.1e-16 | 1.1e-16 | 1.1e-16 | 1.1e-16 | 6.2e-13 | 2.4e-16 | 1.1e-16 | 1.0e+00 | NA | NA |
| J-ISL | 1.1e-16 | 1.1e-16 | 1.1e-16 | 1.1e-16 | 6.2e-13 | 2.4e-16 | 1.1e-16 | 1.0e+00 | 1.0e+00 | NA |
| Z-IPSO | 1.0e+00 | 1.1e-16 | 1.1e-16 | 2.8e-10 | 1.0e+00 | 1.0e+00 | 1.0e+00 | 1.0e+00 | 1.0e+00 | 1.0e+00 |
|
| Rosenbrock function - 100 dimensions |
| Fully-connected topology |
| A-PSO-10 | B-PSO-100 | C-PSO-1000 | D-EPUS | E-PSOLS-5 | F-PSOLS-10 | G-PSOLS-20 | H-EPUSLS | I-RLS | J-ISL |
| B-PSO-100 | 1.0e+00 | NA | NA | NA | NA | NA | NA | NA | NA | NA |
| C-PSO-1000 | 1.0e+00 | 1.0e+00 | NA | NA | NA | NA | NA | NA | NA | NA |
| D-EPUS | 1.0e+00 | 2.0e-14 | 1.1e-16 | NA | NA | NA | NA | NA | NA | NA |
| E-PSOLS-5 | 1.0e+00 | 1.0e+00 | 1.1e-16 | 1.0e+00 | NA | NA | NA | NA | NA | NA |
| F-PSOLS-10 | 1.0e+00 | 1.0e+00 | 1.1e-16 | 1.0e+00 | 1.0e+00 | NA | NA | NA | NA | NA |
| G-PSOLS-20 | 1.0e+00 | 1.0e+00 | 1.1e-16 | 1.0e+00 | 1.0e+00 | 1.0e+00 | NA | NA | NA | NA |
| H-EPUSLS | 1.0e+00 | 1.0e+00 | 1.1e-16 | 1.0e+00 | 2.4e-01 | 8.6e-02 | 1.7e-02 | NA | NA | NA |
| I-RLS | 1.0e+00 | 1.0e+00 | 1.1e-16 | 1.0e+00 | 7.0e-15 | 1.1e-16 | 1.1e-16 | 1.0e+00 | NA | NA |
| J-ISL | 1.0e+00 | 1.0e+00 | 1.1e-16 | 1.0e+00 | 7.0e-15 | 1.1e-16 | 1.1e-16 | 1.0e+00 | 1.0e+00 | NA |
| Z-IPSO | 1.0e+00 | 1.1e-16 | 1.1e-16 | 1.1e-13 | 7.8e-16 | 6.5e-16 | 2.2e-16 | 3.5e-14 | 1.1e-15 | 1.1e-15 |
|
| Ring topology |
| A-PSO-10 | B-PSO-100 | C-PSO-1000 | D-EPUS | E-PSOLS-5 | F-PSOLS-10 | G-PSOLS-20 | H-EPUSLS | I-RLS | J-ISL |
| B-PSO-100 | 1.0e+00 | NA | NA | NA | NA | NA | NA | NA | NA | NA |
| C-PSO-1000 | 1.0e+00 | 1.0e+00 | NA | NA | NA | NA | NA | NA | NA | NA |
| D-EPUS | 1.0e+00 | 1.1e-16 | 1.1e-16 | NA | NA | NA | NA | NA | NA | NA |
| E-PSOLS-5 | 1.0e+00 | 9.8e-13 | 1.1e-16 | 1.0e+00 | NA | NA | NA | NA | NA | NA |
| F-PSOLS-10 | 1.0e+00 | 3.0e-12 | 1.1e-16 | 1.0e+00 | 1.0e+00 | NA | NA | NA | NA | NA |
| G-PSOLS-20 | 1.0e+00 | 4.0e-11 | 1.1e-16 | 1.0e+00 | 1.0e+00 | 1.0e+00 | NA | NA | NA | NA |
| H-EPUSLS | 1.0e+00 | 3.1e-15 | 1.1e-16 | 1.0e+00 | 2.0e-01 | 7.2e-02 | 1.4e-02 | NA | NA | NA |
| I-RLS | 1.0e+00 | 6.1e-13 | 1.1e-16 | 1.0e+00 | 7.6e-15 | 1.1e-16 | 1.1e-16 | 1.0e+00 | NA | NA |
| J-ISL | 1.0e+00 | 6.1e-13 | 1.1e-16 | 1.0e+00 | 7.6e-15 | 1.1e-16 | 1.1e-16 | 1.0e+00 | 1.0e+00 | NA |
| Z-IPSO | 1.0e+00 | 1.1e-16 | 1.1e-16 | 1.0e+00 | 8.9e-07 | 1.5e-07 | 7.1e-09 | 1.1e-02 | 2.5e-06 | 2.5e-06 |
|
| Salomon function - 100 dimensions |
| Fully-connected topology |
| A-PSO-10 | B-PSO-100 | C-PSO-1000 | D-EPUS | E-PSOLS-5 | F-PSOLS-10 | G-PSOLS-20 | H-EPUSLS | I-RLS | J-ISL |
| B-PSO-100 | 1.0e+00 | NA | NA | NA | NA | NA | NA | NA | NA | NA |
| C-PSO-1000 | 1.0e+00 | 1.0e+00 | NA | NA | NA | NA | NA | NA | NA | NA |
| D-EPUS | 1.0e+00 | 1.0e+00 | 1.3e-16 | NA | NA | NA | NA | NA | NA | NA |
| E-PSOLS-5 | 1.0e+00 | 1.0e+00 | 1.0e+00 | 1.0e+00 | NA | NA | NA | NA | NA | NA |
| F-PSOLS-10 | 1.0e+00 | 1.0e+00 | 1.0e+00 | 1.0e+00 | 8.3e-06 | NA | NA | NA | NA | NA |
| G-PSOLS-20 | 1.0e+00 | 1.0e+00 | 1.0e+00 | 1.0e+00 | 2.8e-10 | 6.3e-07 | NA | NA | NA | NA |
| H-EPUSLS | 1.0e+00 | 1.0e+00 | 1.0e+00 | 1.0e+00 | 1.0e+00 | 1.0e+00 | 1.0e+00 | NA | NA | NA |
| I-RLS | 1.0e+00 | 1.0e+00 | 1.0e+00 | 1.0e+00 | 1.0e+00 | 1.0e+00 | 1.0e+00 | 1.0e+00 | NA | NA |
| J-ISL | 1.0e+00 | 1.0e+00 | 1.0e+00 | 1.0e+00 | 1.0e+00 | 1.0e+00 | 1.0e+00 | 1.0e+00 | 1.0e+00 | NA |
| Z-IPSO | 1.0e+00 | 1.1e-16 | 1.1e-16 | 1.5e-16 | 1.1e-16 | 1.1e-16 | 1.1e-16 | 1.1e-16 | 1.1e-16 | 1.1e-16 |
|
| Ring topology |
| A-PSO-10 | B-PSO-100 | C-PSO-1000 | D-EPUS | E-PSOLS-5 | F-PSOLS-10 | G-PSOLS-20 | H-EPUSLS | I-RLS | J-ISL |
| B-PSO-100 | 1.0e+00 | NA | NA | NA | NA | NA | NA | NA | NA | NA |
| C-PSO-1000 | 1.0e+00 | 1.0e+00 | NA | NA | NA | NA | NA | NA | NA | NA |
| D-EPUS | 1.0e+00 | 1.4e-16 | 1.1e-16 | NA | NA | NA | NA | NA | NA | NA |
| E-PSOLS-5 | 1.0e+00 | 1.0e+00 | 1.0e+00 | 1.0e+00 | NA | NA | NA | NA | NA | NA |
| F-PSOLS-10 | 1.0e+00 | 1.0e+00 | 1.0e+00 | 1.0e+00 | 8.3e-06 | NA | NA | NA | NA | NA |
| G-PSOLS-20 | 1.0e+00 | 1.0e+00 | 1.0e+00 | 1.0e+00 | 2.8e-10 | 6.3e-07 | NA | NA | NA | NA |
| H-EPUSLS | 1.0e+00 | 1.0e+00 | 1.0e+00 | 1.0e+00 | 1.0e+00 | 1.0e+00 | 1.0e+00 | NA | NA | NA |
| I-RLS | 1.0e+00 | 1.0e+00 | 1.0e+00 | 1.0e+00 | 1.0e+00 | 1.0e+00 | 1.0e+00 | 1.0e+00 | NA | NA |
| J-ISL | 1.0e+00 | 1.0e+00 | 1.0e+00 | 1.0e+00 | 1.0e+00 | 1.0e+00 | 1.0e+00 | 1.0e+00 | 1.0e+00 | NA |
| Z-IPSO | 1.0e+00 | 1.1e-16 | 1.1e-16 | 1.9e-02 | 1.1e-16 | 1.1e-16 | 1.1e-16 | 1.1e-16 | 1.1e-16 | 1.1e-16 |
|
| Schaffer function - 100 dimensions |
| Fully-connected topology |
| A-PSO-10 | B-PSO-100 | C-PSO-1000 | D-EPUS | E-PSOLS-5 | F-PSOLS-10 | G-PSOLS-20 | H-EPUSLS | I-RLS | J-ISL |
| B-PSO-100 | 1.0e+00 | NA | NA | NA | NA | NA | NA | NA | NA | NA |
| C-PSO-1000 | 1.0e+00 | 1.0e+00 | NA | NA | NA | NA | NA | NA | NA | NA |
| D-EPUS | 1.0e+00 | 1.0e+00 | 1.0e+00 | NA | NA | NA | NA | NA | NA | NA |
| E-PSOLS-5 | 1.4e-14 | 3.1e-15 | 1.8e-15 | 1.9e-15 | NA | NA | NA | NA | NA | NA |
| F-PSOLS-10 | 1.4e-14 | 3.2e-15 | 1.9e-15 | 1.9e-15 | 1.0e+00 | NA | NA | NA | NA | NA |
| G-PSOLS-20 | 2.0e-14 | 5.3e-15 | 2.3e-15 | 2.1e-15 | 1.0e+00 | 1.0e+00 | NA | NA | NA | NA |
| H-EPUSLS | 5.3e-15 | 2.1e-15 | 4.4e-16 | 1.7e-16 | 1.0e+00 | 1.0e+00 | 1.0e+00 | NA | NA | NA |
| I-RLS | 1.0e-14 | 2.3e-15 | 1.5e-15 | 1.5e-15 | 4.9e-08 | 7.8e-13 | 5.3e-15 | 1.0e+00 | NA | NA |
| J-ISL | 1.0e-14 | 2.3e-15 | 1.5e-15 | 1.5e-15 | 4.9e-08 | 7.8e-13 | 5.3e-15 | 1.0e+00 | 1.0e+00 | NA |
| Z-IPSO | 1.0e+00 | 1.0e+00 | 6.4e-03 | 2.2e-02 | 1.0e+00 | 1.0e+00 | 1.0e+00 | 1.0e+00 | 1.0e+00 | 1.0e+00 |
|
| Ring topology |
| A-PSO-10 | B-PSO-100 | C-PSO-1000 | D-EPUS | E-PSOLS-5 | F-PSOLS-10 | G-PSOLS-20 | H-EPUSLS | I-RLS | J-ISL |
| B-PSO-100 | 1.0e+00 | NA | NA | NA | NA | NA | NA | NA | NA | NA |
| C-PSO-1000 | 1.0e+00 | 1.0e+00 | NA | NA | NA | NA | NA | NA | NA | NA |
| D-EPUS | 1.0e+00 | 1.0e+00 | 1.0e+00 | NA | NA | NA | NA | NA | NA | NA |
| E-PSOLS-5 | 1.9e-14 | 1.2e-15 | 1.5e-15 | 9.2e-16 | NA | NA | NA | NA | NA | NA |
| F-PSOLS-10 | 1.9e-14 | 1.2e-15 | 1.5e-15 | 9.3e-16 | 1.0e+00 | NA | NA | NA | NA | NA |
| G-PSOLS-20 | 2.9e-14 | 1.4e-15 | 2.1e-15 | 1.2e-15 | 1.0e+00 | 1.0e+00 | NA | NA | NA | NA |
| H-EPUSLS | 8.7e-15 | 4.8e-16 | 4.4e-16 | 1.8e-16 | 1.0e+00 | 1.0e+00 | 1.0e+00 | NA | NA | NA |
| I-RLS | 1.4e-14 | 1.0e-15 | 1.3e-15 | 7.6e-16 | 4.9e-08 | 7.8e-13 | 5.1e-15 | 1.0e+00 | NA | NA |
| J-ISL | 1.4e-14 | 1.0e-15 | 1.3e-15 | 7.6e-16 | 4.9e-08 | 7.8e-13 | 5.1e-15 | 1.0e+00 | 1.0e+00 | NA |
| Z-IPSO | 1.0e+00 | 3.2e-04 | 6.3e-03 | 5.5e-04 | 1.0e+00 | 1.0e+00 | 1.0e+00 | 1.0e+00 | 1.0e+00 | 1.0e+00 |
|
| Schwefel function - 100 dimensions |
| Fully-connected topology |
| A-PSO-10 | B-PSO-100 | C-PSO-1000 | D-EPUS | E-PSOLS-5 | F-PSOLS-10 | G-PSOLS-20 | H-EPUSLS | I-RLS | J-ISL |
| B-PSO-100 | 1.0e+00 | NA | NA | NA | NA | NA | NA | NA | NA | NA |
| C-PSO-1000 | 1.0e+00 | 1.0e+00 | NA | NA | NA | NA | NA | NA | NA | NA |
| D-EPUS | 1.0e+00 | 1.0e+00 | 1.0e+00 | NA | NA | NA | NA | NA | NA | NA |
| E-PSOLS-5 | 1.1e-16 | 1.1e-16 | 1.1e-16 | 1.1e-16 | NA | NA | NA | NA | NA | NA |
| F-PSOLS-10 | 1.1e-16 | 1.1e-16 | 1.1e-16 | 1.1e-16 | 1.0e+00 | NA | NA | NA | NA | NA |
| G-PSOLS-20 | 1.1e-16 | 1.1e-16 | 1.1e-16 | 1.1e-16 | 1.0e+00 | 1.0e+00 | NA | NA | NA | NA |
| H-EPUSLS | 1.1e-16 | 1.1e-16 | 1.1e-16 | 1.1e-16 | 1.0e+00 | 1.0e+00 | 1.0e+00 | NA | NA | NA |
| I-RLS | 1.1e-16 | 1.1e-16 | 1.1e-16 | 1.1e-16 | 2.9e-09 | 1.1e-15 | 1.1e-16 | 1.0e+00 | NA | NA |
| J-ISL | 1.1e-16 | 1.1e-16 | 1.1e-16 | 1.1e-16 | 2.9e-09 | 1.1e-15 | 1.1e-16 | 1.0e+00 | 1.0e+00 | NA |
| Z-IPSO | 1.0e+00 | 1.1e-16 | 1.1e-16 | 1.9e-16 | 1.0e+00 | 1.0e+00 | 1.0e+00 | 1.0e+00 | 1.0e+00 | 1.0e+00 |
|
| Ring topology |
| A-PSO-10 | B-PSO-100 | C-PSO-1000 | D-EPUS | E-PSOLS-5 | F-PSOLS-10 | G-PSOLS-20 | H-EPUSLS | I-RLS | J-ISL |
| B-PSO-100 | 1.0e+00 | NA | NA | NA | NA | NA | NA | NA | NA | NA |
| C-PSO-1000 | 1.0e+00 | 1.0e+00 | NA | NA | NA | NA | NA | NA | NA | NA |
| D-EPUS | 1.0e+00 | 1.0e+00 | 1.0e+00 | NA | NA | NA | NA | NA | NA | NA |
| E-PSOLS-5 | 1.1e-16 | 1.1e-16 | 1.1e-16 | 1.1e-16 | NA | NA | NA | NA | NA | NA |
| F-PSOLS-10 | 1.1e-16 | 1.1e-16 | 1.1e-16 | 1.1e-16 | 1.0e+00 | NA | NA | NA | NA | NA |
| G-PSOLS-20 | 1.1e-16 | 1.1e-16 | 1.1e-16 | 1.1e-16 | 1.0e+00 | 1.0e+00 | NA | NA | NA | NA |
| H-EPUSLS | 1.1e-16 | 1.1e-16 | 1.1e-16 | 1.1e-16 | 1.0e+00 | 1.0e+00 | 1.0e+00 | NA | NA | NA |
| I-RLS | 1.1e-16 | 1.1e-16 | 1.1e-16 | 1.1e-16 | 2.9e-09 | 1.1e-15 | 1.1e-16 | 1.0e+00 | NA | NA |
| J-ISL | 1.1e-16 | 1.1e-16 | 1.1e-16 | 1.1e-16 | 2.9e-09 | 1.1e-15 | 1.1e-16 | 1.0e+00 | 1.0e+00 | NA |
| Z-IPSO | 1.0e+00 | 1.8e-16 | 1.1e-16 | 2.1e-16 | 1.0e+00 | 1.0e+00 | 1.0e+00 | 1.0e+00 | 1.0e+00 | 1.0e+00 |
|
| Sphere function - 100 dimensions |
| Fully-connected topology |
| A-PSO-10 | B-PSO-100 | C-PSO-1000 | D-EPUS | E-PSOLS-5 | F-PSOLS-10 | G-PSOLS-20 | H-EPUSLS | I-RLS | J-ISL |
| B-PSO-100 | 1.0e+00 | NA | NA | NA | NA | NA | NA | NA | NA | NA |
| C-PSO-1000 | 1.0e+00 | 1.0e+00 | NA | NA | NA | NA | NA | NA | NA | NA |
| D-EPUS | 1.0e+00 | 1.5e-12 | 1.1e-16 | NA | NA | NA | NA | NA | NA | NA |
| E-PSOLS-5 | 1.1e-16 | 1.1e-16 | 1.1e-16 | 1.1e-16 | NA | NA | NA | NA | NA | NA |
| F-PSOLS-10 | 1.1e-16 | 1.1e-16 | 1.1e-16 | 1.1e-16 | 1.0e+00 | NA | NA | NA | NA | NA |
| G-PSOLS-20 | 1.1e-16 | 1.1e-16 | 1.1e-16 | 1.1e-16 | 1.0e+00 | 1.0e+00 | NA | NA | NA | NA |
| H-EPUSLS | 1.1e-16 | 1.1e-16 | 1.1e-16 | 1.1e-16 | 1.0e+00 | 1.0e+00 | 1.0e+00 | NA | NA | NA |
| I-RLS | 1.1e-16 | 1.1e-16 | 1.1e-16 | 1.1e-16 | 1.0e+00 | 1.0e+00 | 1.0e+00 | 1.0e+00 | NA | NA |
| J-ISL | 1.1e-16 | 1.1e-16 | 1.1e-16 | 1.1e-16 | 1.0e+00 | 1.0e+00 | 1.0e+00 | 1.0e+00 | 1.0e+00 | NA |
| Z-IPSO | 1.0e+00 | 1.1e-16 | 1.1e-16 | 2.7e-12 | 1.0e+00 | 1.0e+00 | 1.0e+00 | 1.0e+00 | 1.0e+00 | 1.0e+00 |
|
| Ring topology |
| A-PSO-10 | B-PSO-100 | C-PSO-1000 | D-EPUS | E-PSOLS-5 | F-PSOLS-10 | G-PSOLS-20 | H-EPUSLS | I-RLS | J-ISL |
| B-PSO-100 | 1.0e+00 | NA | NA | NA | NA | NA | NA | NA | NA | NA |
| C-PSO-1000 | 1.0e+00 | 1.0e+00 | NA | NA | NA | NA | NA | NA | NA | NA |
| D-EPUS | 1.0e+00 | 1.1e-16 | 1.1e-16 | NA | NA | NA | NA | NA | NA | NA |
| E-PSOLS-5 | 1.1e-16 | 1.1e-16 | 1.1e-16 | 1.1e-16 | NA | NA | NA | NA | NA | NA |
| F-PSOLS-10 | 1.1e-16 | 1.1e-16 | 1.1e-16 | 1.1e-16 | 1.0e+00 | NA | NA | NA | NA | NA |
| G-PSOLS-20 | 1.1e-16 | 1.1e-16 | 1.1e-16 | 1.1e-16 | 1.0e+00 | 1.0e+00 | NA | NA | NA | NA |
| H-EPUSLS | 1.1e-16 | 1.1e-16 | 1.1e-16 | 1.1e-16 | 1.0e+00 | 1.0e+00 | 1.0e+00 | NA | NA | NA |
| I-RLS | 1.1e-16 | 1.1e-16 | 1.1e-16 | 1.1e-16 | 1.0e+00 | 1.0e+00 | 1.0e+00 | 1.0e+00 | NA | NA |
| J-ISL | 1.1e-16 | 1.1e-16 | 1.1e-16 | 1.1e-16 | 1.0e+00 | 1.0e+00 | 1.0e+00 | 1.0e+00 | 1.0e+00 | NA |
| Z-IPSO | 1.0e+00 | 1.1e-16 | 1.1e-16 | 1.0e+00 | 1.0e+00 | 1.0e+00 | 1.0e+00 | 1.0e+00 | 1.0e+00 | 1.0e+00 |
|
| Step function - 100 dimensions |
| Fully-connected topology |
| A-PSO-10 | B-PSO-100 | C-PSO-1000 | D-EPUS | E-PSOLS-5 | F-PSOLS-10 | G-PSOLS-20 | H-EPUSLS | I-RLS | J-ISL |
| B-PSO-100 | 1.0e+00 | NA | NA | NA | NA | NA | NA | NA | NA | NA |
| C-PSO-1000 | 1.0e+00 | 1.0e+00 | NA | NA | NA | NA | NA | NA | NA | NA |
| D-EPUS | 1.0e+00 | 1.0e+00 | 1.0e+00 | NA | NA | NA | NA | NA | NA | NA |
| E-PSOLS-5 | 1.0e+00 | 7.4e-01 | 1.1e-16 | 1.1e-16 | NA | NA | NA | NA | NA | NA |
| F-PSOLS-10 | 1.0e+00 | 1.0e+00 | 1.1e-16 | 1.1e-16 | 1.0e+00 | NA | NA | NA | NA | NA |
| G-PSOLS-20 | 1.0e+00 | 1.0e+00 | 1.1e-16 | 1.1e-16 | 1.0e+00 | 1.0e+00 | NA | NA | NA | NA |
| H-EPUSLS | 1.0e+00 | 1.2e-01 | 1.1e-16 | 1.1e-16 | 1.0e+00 | 1.0e+00 | 2.3e-01 | NA | NA | NA |
| I-RLS | 1.0e+00 | 3.7e-01 | 1.1e-16 | 1.1e-16 | 2.4e-06 | 1.6e-10 | 2.8e-13 | 1.0e+00 | NA | NA |
| J-ISL | 1.0e+00 | 3.7e-01 | 1.1e-16 | 1.1e-16 | 2.4e-06 | 1.6e-10 | 2.8e-13 | 1.0e+00 | 1.0e+00 | NA |
| Z-IPSO | 1.0e+00 | 9.6e-16 | 1.1e-16 | 1.1e-16 | 5.5e-14 | 4.0e-14 | 2.1e-14 | 2.9e-13 | 8.5e-14 | 8.5e-14 |
|
| Ring topology |
| A-PSO-10 | B-PSO-100 | C-PSO-1000 | D-EPUS | E-PSOLS-5 | F-PSOLS-10 | G-PSOLS-20 | H-EPUSLS | I-RLS | J-ISL |
| B-PSO-100 | 1.0e+00 | NA | NA | NA | NA | NA | NA | NA | NA | NA |
| C-PSO-1000 | 1.0e+00 | 1.0e+00 | NA | NA | NA | NA | NA | NA | NA | NA |
| D-EPUS | 1.0e+00 | 1.0e+00 | 1.0e+00 | NA | NA | NA | NA | NA | NA | NA |
| E-PSOLS-5 | 1.0e+00 | 1.1e-16 | 1.1e-16 | 1.1e-16 | NA | NA | NA | NA | NA | NA |
| F-PSOLS-10 | 1.0e+00 | 1.1e-16 | 1.1e-16 | 1.1e-16 | 1.0e+00 | NA | NA | NA | NA | NA |
| G-PSOLS-20 | 1.0e+00 | 1.1e-16 | 1.1e-16 | 1.1e-16 | 1.0e+00 | 1.0e+00 | NA | NA | NA | NA |
| H-EPUSLS | 1.0e+00 | 1.1e-16 | 1.1e-16 | 1.1e-16 | 1.0e+00 | 1.0e+00 | 2.4e-01 | NA | NA | NA |
| I-RLS | 1.0e+00 | 1.1e-16 | 1.1e-16 | 1.1e-16 | 2.4e-06 | 1.6e-10 | 2.7e-13 | 1.0e+00 | NA | NA |
| J-ISL | 1.0e+00 | 1.1e-16 | 1.1e-16 | 1.1e-16 | 2.4e-06 | 1.6e-10 | 2.7e-13 | 1.0e+00 | 1.0e+00 | NA |
| Z-IPSO | 1.0e+00 | 1.1e-16 | 1.1e-16 | 1.1e-16 | 1.0e+00 | 1.0e+00 | 1.0e+00 | 1.0e+00 | 1.0e+00 | 1.0e+00 |
|
| Weierstrass function - 100 dimensions |
| Fully-connected topology |
| A-PSO-10 | B-PSO-100 | C-PSO-1000 | D-EPUS | E-PSOLS-5 | F-PSOLS-10 | G-PSOLS-20 | H-EPUSLS | I-RLS | J-ISL |
| B-PSO-100 | 1.0e+00 | NA | NA | NA | NA | NA | NA | NA | NA | NA |
| C-PSO-1000 | 1.0e+00 | 1.0e+00 | NA | NA | NA | NA | NA | NA | NA | NA |
| D-EPUS | 1.0e+00 | 2.2e-03 | 4.5e-10 | NA | NA | NA | NA | NA | NA | NA |
| E-PSOLS-5 | 1.1e-16 | 1.1e-16 | 1.1e-16 | 1.1e-16 | NA | NA | NA | NA | NA | NA |
| F-PSOLS-10 | 1.1e-16 | 1.1e-16 | 1.1e-16 | 1.1e-16 | 1.0e+00 | NA | NA | NA | NA | NA |
| G-PSOLS-20 | 1.1e-16 | 1.1e-16 | 1.1e-16 | 1.1e-16 | 1.0e+00 | 1.0e+00 | NA | NA | NA | NA |
| H-EPUSLS | 1.1e-16 | 1.1e-16 | 1.1e-16 | 1.1e-16 | 1.0e+00 | 1.2e-01 | 5.3e-06 | NA | NA | NA |
| I-RLS | 1.1e-16 | 1.1e-16 | 1.1e-16 | 1.1e-16 | 6.9e-15 | 1.1e-16 | 1.1e-16 | 1.0e+00 | NA | NA |
| J-ISL | 1.1e-16 | 1.1e-16 | 1.1e-16 | 1.1e-16 | 6.9e-15 | 1.1e-16 | 1.1e-16 | 1.0e+00 | 1.0e+00 | NA |
| Z-IPSO | 1.0e+00 | 1.1e-16 | 1.1e-16 | 1.8e-08 | 1.0e+00 | 1.0e+00 | 1.0e+00 | 1.0e+00 | 1.0e+00 | 1.0e+00 |
|
| Ring topology |
| A-PSO-10 | B-PSO-100 | C-PSO-1000 | D-EPUS | E-PSOLS-5 | F-PSOLS-10 | G-PSOLS-20 | H-EPUSLS | I-RLS | J-ISL |
| B-PSO-100 | 1.0e+00 | NA | NA | NA | NA | NA | NA | NA | NA | NA |
| C-PSO-1000 | 1.0e+00 | 1.0e+00 | NA | NA | NA | NA | NA | NA | NA | NA |
| D-EPUS | 1.0e+00 | 1.0e+00 | 1.8e-05 | NA | NA | NA | NA | NA | NA | NA |
| E-PSOLS-5 | 1.1e-16 | 1.1e-16 | 1.1e-16 | 1.1e-16 | NA | NA | NA | NA | NA | NA |
| F-PSOLS-10 | 1.1e-16 | 1.1e-16 | 1.1e-16 | 1.1e-16 | 1.0e+00 | NA | NA | NA | NA | NA |
| G-PSOLS-20 | 1.1e-16 | 1.1e-16 | 1.1e-16 | 1.1e-16 | 1.0e+00 | 1.0e+00 | NA | NA | NA | NA |
| H-EPUSLS | 1.1e-16 | 1.1e-16 | 1.1e-16 | 1.1e-16 | 1.0e+00 | 1.4e-01 | 6.3e-06 | NA | NA | NA |
| I-RLS | 1.1e-16 | 1.1e-16 | 1.1e-16 | 1.1e-16 | 7.8e-15 | 1.1e-16 | 1.1e-16 | 1.0e+00 | NA | NA |
| J-ISL | 1.1e-16 | 1.1e-16 | 1.1e-16 | 1.1e-16 | 1.0e+00 | 1.0e+00 | 1.0e+00 | 1.0e+00 | 1.0e+00 | NA |
| Z-IPSO | 1.0e+00 | 2.0e-10 | 1.1e-16 | 2.0e-11 | 1.0e+00 | 1.0e+00 | 1.0e+00 | 1.0e+00 | 1.0e+00 | 1.0e+00 |
|
Differences after 10,000 function evaluations
| Ackley function - 100 dimensions |
| Fully-connected topology |
| A-PSO-10 | B-PSO-100 | C-PSO-1000 | D-EPUS | E-PSOLS-5 | F-PSOLS-10 | G-PSOLS-20 | H-EPUSLS | I-RLS | J-ISL |
| B-PSO-100 | 7.8e-11 | NA | NA | NA | NA | NA | NA | NA | NA | NA |
| C-PSO-1000 | 1.0e+00 | 1.0e+00 | NA | NA | NA | NA | NA | NA | NA | NA |
| D-EPUS | 1.0e+00 | 1.0e+00 | 1.5e-06 | NA | NA | NA | NA | NA | NA | NA |
| E-PSOLS-5 | 5.4e-12 | 1.0e+00 | 1.1e-16 | 1.1e-16 | NA | NA | NA | NA | NA | NA |
| F-PSOLS-10 | 5.4e-12 | 1.0e+00 | 1.1e-16 | 1.1e-16 | 1.0e+00 | NA | NA | NA | NA | NA |
| G-PSOLS-20 | 5.4e-12 | 1.0e+00 | 1.1e-16 | 1.1e-16 | 1.0e+00 | 1.0e+00 | NA | NA | NA | NA |
| H-EPUSLS | 4.1e-10 | 1.0e+00 | 1.1e-16 | 1.1e-16 | 1.0e+00 | 1.0e+00 | 1.0e+00 | NA | NA | NA |
| I-RLS | 8.3e-12 | 1.0e+00 | 1.1e-16 | 1.1e-16 | 1.0e+00 | 1.0e+00 | 1.0e+00 | 1.0e+00 | NA | NA |
| J-ISL | 5.1e-16 | 3.9e-07 | 1.1e-16 | 1.1e-16 | 2.4e-11 | 2.4e-11 | 2.3e-11 | 9.1e-09 | 4.3e-11 | NA |
| Z-IPSO | 6.1e-04 | 1.0e+00 | 1.4e-14 | 1.5e-06 | 1.0e+00 | 1.0e+00 | 1.0e+00 | 1.0e+00 | 1.0e+00 | 1.0e+00 |
|
| Ring topology |
| A-PSO-10 | B-PSO-100 | C-PSO-1000 | D-EPUS | E-PSOLS-5 | F-PSOLS-10 | G-PSOLS-20 | H-EPUSLS | I-RLS | J-ISL |
| B-PSO-100 | 1.0e+00 | NA | NA | NA | NA | NA | NA | NA | NA | NA |
| C-PSO-1000 | 1.0e+00 | 1.0e+00 | NA | NA | NA | NA | NA | NA | NA | NA |
| D-EPUS | 1.0e+00 | 1.0e+00 | 1.1e-15 | NA | NA | NA | NA | NA | NA | NA |
| E-PSOLS-5 | 6.4e-02 | 8.2e-16 | 1.1e-16 | 3.7e-16 | NA | NA | NA | NA | NA | NA |
| F-PSOLS-10 | 6.4e-02 | 8.2e-16 | 1.1e-16 | 3.7e-16 | 1.0e+00 | NA | NA | NA | NA | NA |
| G-PSOLS-20 | 6.4e-02 | 8.2e-16 | 1.1e-16 | 3.7e-16 | 1.0e+00 | 1.0e+00 | NA | NA | NA | NA |
| H-EPUSLS | 6.5e-02 | 1.1e-15 | 1.1e-16 | 3.7e-14 | 1.0e+00 | 1.0e+00 | 1.0e+00 | NA | NA | NA |
| I-RLS | 7.2e-03 | 7.7e-16 | 1.1e-16 | 3.0e-15 | 1.0e+00 | 1.0e+00 | 1.0e+00 | 1.0e+00 | NA | NA |
| J-ISL | 4.4e-12 | 1.1e-16 | 1.1e-16 | 1.1e-16 | 2.1e-11 | 2.1e-11 | 2.0e-11 | 8.2e-09 | 3.6e-11 | NA |
| Z-IPSO | 9.7e-01 | 1.1e-15 | 1.1e-16 | 1.5e-15 | 1.0e+00 | 1.0e+00 | 1.0e+00 | 1.0e+00 | 1.0e+00 | 1.0e+00 |
|
| Griewank function - 100 dimensions |
| Fully-connected topology |
| A-PSO-10 | B-PSO-100 | C-PSO-1000 | D-EPUS | E-PSOLS-5 | F-PSOLS-10 | G-PSOLS-20 | H-EPUSLS | I-RLS | J-ISL |
| B-PSO-100 | 1.5e-13 | NA | NA | NA | NA | NA | NA | NA | NA | NA |
| C-PSO-1000 | 1.0e+00 | 1.0e+00 | NA | NA | NA | NA | NA | NA | NA | NA |
| D-EPUS | 8.1e-10 | 5.0e-07 | 2.3e-13 | NA | NA | NA | NA | NA | NA | NA |
| E-PSOLS-5 | 1.1e-16 | 1.1e-16 | 1.1e-16 | 1.1e-16 | NA | NA | NA | NA | NA | NA |
| F-PSOLS-10 | 1.1e-16 | 1.1e-16 | 1.1e-16 | 1.1e-16 | 1.0e+00 | NA | NA | NA | NA | NA |
| G-PSOLS-20 | 1.1e-16 | 1.1e-16 | 1.1e-16 | 1.1e-16 | 1.0e+00 | 1.0e+00 | NA | NA | NA | NA |
| H-EPUSLS | 1.1e-16 | 1.1e-16 | 1.1e-16 | 1.1e-16 | 1.0e+00 | 1.0e+00 | 1.0e+00 | NA | NA | NA |
| I-RLS | 1.1e-16 | 1.1e-16 | 1.1e-16 | 1.1e-16 | 1.0e+00 | 1.0e+00 | 1.0e+00 | 1.0e+00 | NA | NA |
| J-ISL | 1.1e-16 | 1.1e-16 | 1.1e-16 | 1.1e-16 | 1.0e+00 | 1.0e+00 | 1.0e+00 | 1.0e+00 | 1.0e+00 | NA |
| Z-IPSO | 1.1e-16 | 2.1e-16 | 1.1e-16 | 1.0e+00 | 1.0e+00 | 1.0e+00 | 1.0e+00 | 1.0e+00 | 1.0e+00 | 1.0e+00 |
|
| Ring topology |
| A-PSO-10 | B-PSO-100 | C-PSO-1000 | D-EPUS | E-PSOLS-5 | F-PSOLS-10 | G-PSOLS-20 | H-EPUSLS | I-RLS | J-ISL |
| B-PSO-100 | 1.0e+00 | NA | NA | NA | NA | NA | NA | NA | NA | NA |
| C-PSO-1000 | 1.0e+00 | 1.0e+00 | NA | NA | NA | NA | NA | NA | NA | NA |
| D-EPUS | 1.0e+00 | 1.1e-16 | 1.1e-16 | NA | NA | NA | NA | NA | NA | NA |
| E-PSOLS-5 | 1.1e-16 | 1.1e-16 | 1.1e-16 | 1.1e-16 | NA | NA | NA | NA | NA | NA |
| F-PSOLS-10 | 1.1e-16 | 1.1e-16 | 1.1e-16 | 1.1e-16 | 1.0e+00 | NA | NA | NA | NA | NA |
| G-PSOLS-20 | 1.1e-16 | 1.1e-16 | 1.1e-16 | 1.1e-16 | 1.0e+00 | 1.0e+00 | NA | NA | NA | NA |
| H-EPUSLS | 1.1e-16 | 1.1e-16 | 1.1e-16 | 1.1e-16 | 1.0e+00 | 1.0e+00 | 1.0e+00 | NA | NA | NA |
| I-RLS | 1.1e-16 | 1.1e-16 | 1.1e-16 | 1.1e-16 | 1.0e+00 | 1.0e+00 | 1.0e+00 | 1.0e+00 | NA | NA |
| J-ISL | 1.1e-16 | 1.1e-16 | 1.1e-16 | 1.1e-16 | 1.0e+00 | 1.0e+00 | 1.0e+00 | 1.0e+00 | 1.0e+00 | NA |
| Z-IPSO | 1.0e+00 | 1.1e-16 | 1.1e-16 | 1.0e+00 | 1.0e+00 | 1.0e+00 | 1.0e+00 | 1.0e+00 | 1.0e+00 | 1.0e+00 |
|
| Rastrigin function - 100 dimensions |
| Fully-connected topology |
| A-PSO-10 | B-PSO-100 | C-PSO-1000 | D-EPUS | E-PSOLS-5 | F-PSOLS-10 | G-PSOLS-20 | H-EPUSLS | I-RLS | J-ISL |
| B-PSO-100 | 1.0e+00 | NA | NA | NA | NA | NA | NA | NA | NA | NA |
| C-PSO-1000 | 1.0e+00 | 1.0e+00 | NA | NA | NA | NA | NA | NA | NA | NA |
| D-EPUS | 1.0e+00 | 1.0e+00 | 1.1e-14 | NA | NA | NA | NA | NA | NA | NA |
| E-PSOLS-5 | 1.1e-16 | 1.1e-16 | 1.1e-16 | 1.1e-16 | NA | NA | NA | NA | NA | NA |
| F-PSOLS-10 | 1.1e-16 | 1.1e-16 | 1.1e-16 | 1.1e-16 | 1.0e+00 | NA | NA | NA | NA | NA |
| G-PSOLS-20 | 1.1e-16 | 1.1e-16 | 1.1e-16 | 1.1e-16 | 1.0e+00 | 1.0e+00 | NA | NA | NA | NA |
| H-EPUSLS | 1.1e-16 | 1.1e-16 | 1.1e-16 | 1.1e-16 | 1.0e+00 | 1.0e+00 | 1.0e+00 | NA | NA | NA |
| I-RLS | 1.1e-16 | 1.1e-16 | 1.1e-16 | 1.1e-16 | 1.0e+00 | 1.0e+00 | 1.0e+00 | 1.0e+00 | NA | NA |
| J-ISL | 1.1e-16 | 1.1e-16 | 1.1e-16 | 1.1e-16 | 8.0e-09 | 8.0e-09 | 8.0e-09 | 4.7e-08 | 4.9e-08 | NA |
| Z-IPSO | 1.0e+00 | 1.0e+00 | 1.1e-16 | 1.2e-04 | 1.0e+00 | 1.0e+00 | 1.0e+00 | 1.0e+00 | 1.0e+00 | 1.0e+00 |
|
| Ring topology |
| A-PSO-10 | B-PSO-100 | C-PSO-1000 | D-EPUS | E-PSOLS-5 | F-PSOLS-10 | G-PSOLS-20 | H-EPUSLS | I-RLS | J-ISL |
| B-PSO-100 | 1.0e+00 | NA | NA | NA | NA | NA | NA | NA | NA | NA |
| C-PSO-1000 | 1.0e+00 | 1.0e+00 | NA | NA | NA | NA | NA | NA | NA | NA |
| D-EPUS | 1.0e+00 | 7.8e-09 | 1.1e-16 | NA | NA | NA | NA | NA | NA | NA |
| E-PSOLS-5 | 1.1e-16 | 1.1e-16 | 1.1e-16 | 1.1e-16 | NA | NA | NA | NA | NA | NA |
| F-PSOLS-10 | 1.1e-16 | 1.1e-16 | 1.1e-16 | 1.1e-16 | 1.0e+00 | NA | NA | NA | NA | NA |
| G-PSOLS-20 | 1.1e-16 | 1.1e-16 | 1.1e-16 | 1.1e-16 | 1.0e+00 | 1.0e+00 | NA | NA | NA | NA |
| H-EPUSLS | 1.1e-16 | 1.1e-16 | 1.1e-16 | 1.1e-16 | 1.0e+00 | 1.0e+00 | 1.0e+00 | NA | NA | NA |
| I-RLS | 1.1e-16 | 1.1e-16 | 1.1e-16 | 1.1e-16 | 1.0e+00 | 1.0e+00 | 1.0e+00 | 1.0e+00 | NA | NA |
| J-ISL | 1.1e-16 | 1.1e-16 | 1.1e-16 | 1.1e-16 | 7.7e-09 | 7.7e-09 | 7.7e-09 | 4.3e-08 | 4.5e-08 | NA |
| Z-IPSO | 1.0e+00 | 3.4e-09 | 1.1e-16 | 1.0e+00 | 1.0e+00 | 1.0e+00 | 1.0e+00 | 1.0e+00 | 1.0e+00 | 1.0e+00 |
|
| Rosenbrock function - 100 dimensions |
| Fully-connected topology |
| A-PSO-10 | B-PSO-100 | C-PSO-1000 | D-EPUS | E-PSOLS-5 | F-PSOLS-10 | G-PSOLS-20 | H-EPUSLS | I-RLS | J-ISL |
| B-PSO-100 | 1.8e-09 | NA | NA | NA | NA | NA | NA | NA | NA | NA |
| C-PSO-1000 | 1.0e+00 | 1.0e+00 | NA | NA | NA | NA | NA | NA | NA | NA |
| D-EPUS | 1.1e-16 | 1.1e-16 | 1.1e-16 | NA | NA | NA | NA | NA | NA | NA |
| E-PSOLS-5 | 1.1e-16 | 1.1e-16 | 1.1e-16 | 1.1e-16 | NA | NA | NA | NA | NA | NA |
| F-PSOLS-10 | 1.1e-16 | 1.1e-16 | 1.1e-16 | 1.1e-16 | 1.0e+00 | NA | NA | NA | NA | NA |
| G-PSOLS-20 | 1.1e-16 | 1.1e-16 | 1.1e-16 | 1.1e-16 | 1.0e+00 | 1.0e+00 | NA | NA | NA | NA |
| H-EPUSLS | 1.1e-16 | 1.1e-16 | 1.1e-16 | 1.1e-16 | 2.9e-01 | 2.9e-01 | 2.9e-01 | NA | NA | NA |
| I-RLS | 1.1e-16 | 1.1e-16 | 1.1e-16 | 1.1e-16 | 2.5e-07 | 8.9e-11 | 9.9e-13 | 1.0e+00 | NA | NA |
| J-ISL | 1.1e-16 | 1.1e-16 | 1.1e-16 | 1.1e-16 | 2.5e-07 | 8.9e-11 | 9.9e-13 | 1.0e+00 | 1.0e+00 | NA |
| Z-IPSO | 1.1e-16 | 1.1e-16 | 1.1e-16 | 1.0e+00 | 1.0e+00 | 1.0e+00 | 1.0e+00 | 1.0e+00 | 1.0e+00 | 1.0e+00 |
|
| Ring topology |
| A-PSO-10 | B-PSO-100 | C-PSO-1000 | D-EPUS | E-PSOLS-5 | F-PSOLS-10 | G-PSOLS-20 | H-EPUSLS | I-RLS | J-ISL |
| B-PSO-100 | 1.0e+00 | NA | NA | NA | NA | NA | NA | NA | NA | NA |
| C-PSO-1000 | 1.0e+00 | 1.0e+00 | NA | NA | NA | NA | NA | NA | NA | NA |
| D-EPUS | 1.0e+00 | 1.1e-16 | 1.1e-16 | NA | NA | NA | NA | NA | NA | NA |
| E-PSOLS-5 | 1.1e-16 | 1.1e-16 | 1.1e-16 | 1.1e-16 | NA | NA | NA | NA | NA | NA |
| F-PSOLS-10 | 1.1e-16 | 1.1e-16 | 1.1e-16 | 1.1e-16 | 1.0e+00 | NA | NA | NA | NA | NA |
| G-PSOLS-20 | 1.1e-16 | 1.1e-16 | 1.1e-16 | 1.1e-16 | 1.0e+00 | 1.0e+00 | NA | NA | NA | NA |
| H-EPUSLS | 1.1e-16 | 1.1e-16 | 1.1e-16 | 1.1e-16 | 3.4e-01 | 3.4e-01 | 3.4e-01 | NA | NA | NA |
| I-RLS | 1.1e-16 | 1.1e-16 | 1.1e-16 | 1.1e-16 | 2.9e-07 | 9.7e-11 | 1.1e-12 | 1.0e+00 | NA | NA |
| J-ISL | 1.1e-16 | 1.1e-16 | 1.1e-16 | 1.1e-16 | 2.9e-07 | 9.7e-11 | 1.1e-12 | 1.0e+00 | 1.0e+00 | NA |
| Z-IPSO | 1.0e+00 | 2.2e-16 | 1.1e-16 | 1.0e+00 | 1.0e+00 | 1.0e+00 | 1.0e+00 | 1.0e+00 | 1.0e+00 | 1.0e+00 |
|
| Salomon function - 100 dimensions |
| Fully-connected topology |
| A-PSO-10 | B-PSO-100 | C-PSO-1000 | D-EPUS | E-PSOLS-5 | F-PSOLS-10 | G-PSOLS-20 | H-EPUSLS | I-RLS | J-ISL |
| B-PSO-100 | 1.2e-16 | NA | NA | NA | NA | NA | NA | NA | NA | NA |
| C-PSO-1000 | 1.0e+00 | 1.0e+00 | NA | NA | NA | NA | NA | NA | NA | NA |
| D-EPUS | 1.0e+00 | 1.0e+00 | 3.0e-14 | NA | NA | NA | NA | NA | NA | NA |
| E-PSOLS-5 | 1.0e+00 | 1.0e+00 | 1.0e+00 | 1.0e+00 | NA | NA | NA | NA | NA | NA |
| F-PSOLS-10 | 1.0e+00 | 1.0e+00 | 1.0e+00 | 1.0e+00 | 1.0e+00 | NA | NA | NA | NA | NA |
| G-PSOLS-20 | 1.0e+00 | 1.0e+00 | 1.0e+00 | 1.0e+00 | 1.0e+00 | 1.0e+00 | NA | NA | NA | NA |
| H-EPUSLS | 1.0e+00 | 1.0e+00 | 1.0e+00 | 1.0e+00 | 1.0e+00 | 1.0e+00 | 1.0e+00 | NA | NA | NA |
| I-RLS | 1.0e+00 | 1.0e+00 | 1.0e+00 | 1.0e+00 | 1.2e-04 | 1.7e-06 | 7.8e-08 | 1.0e+00 | NA | NA |
| J-ISL | 1.0e+00 | 1.0e+00 | 1.0e+00 | 1.0e+00 | 1.2e-04 | 1.7e-06 | 7.8e-08 | 1.0e+00 | 1.0e+00 | NA |
| Z-IPSO | 1.1e-16 | 5.5e-13 | 1.1e-16 | 1.1e-16 | 1.1e-16 | 1.1e-16 | 1.1e-16 | 1.1e-16 | 1.1e-16 | 1.1e-16 |
|
| Ring topology |
| A-PSO-10 | B-PSO-100 | C-PSO-1000 | D-EPUS | E-PSOLS-5 | F-PSOLS-10 | G-PSOLS-20 | H-EPUSLS | I-RLS | J-ISL |
| B-PSO-100 | 1.0e+00 | NA | NA | NA | NA | NA | NA | NA | NA | NA |
| C-PSO-1000 | 1.0e+00 | 1.0e+00 | NA | NA | NA | NA | NA | NA | NA | NA |
| D-EPUS | 1.0e+00 | 1.1e-14 | 1.1e-16 | NA | NA | NA | NA | NA | NA | NA |
| E-PSOLS-5 | 1.0e+00 | 1.0e+00 | 1.1e-16 | 1.0e+00 | NA | NA | NA | NA | NA | NA |
| F-PSOLS-10 | 1.0e+00 | 1.0e+00 | 1.1e-16 | 1.0e+00 | 1.0e+00 | NA | NA | NA | NA | NA |
| G-PSOLS-20 | 1.0e+00 | 1.0e+00 | 1.1e-16 | 1.0e+00 | 1.0e+00 | 1.0e+00 | NA | NA | NA | NA |
| H-EPUSLS | 1.0e+00 | 1.0e+00 | 1.1e-16 | 1.0e+00 | 1.0e+00 | 1.0e+00 | 1.0e+00 | NA | NA | NA |
| I-RLS | 1.0e+00 | 1.0e+00 | 1.1e-16 | 1.0e+00 | 1.0e-04 | 1.5e-06 | 7.1e-08 | 1.0e+00 | NA | NA |
| J-ISL | 1.0e+00 | 1.0e+00 | 1.1e-16 | 1.0e+00 | 1.0e-04 | 1.5e-06 | 7.1e-08 | 1.0e+00 | 1.0e+00 | NA |
| Z-IPSO | 1.0e+00 | 1.9e-16 | 1.1e-16 | 1.0e+00 | 1.1e-16 | 1.1e-16 | 1.1e-16 | 1.1e-16 | 1.1e-16 | 1.1e-16 |
|
| Schaffer function - 100 dimensions |
| Fully-connected topology |
| A-PSO-10 | B-PSO-100 | C-PSO-1000 | D-EPUS | E-PSOLS-5 | F-PSOLS-10 | G-PSOLS-20 | H-EPUSLS | I-RLS | J-ISL |
| B-PSO-100 | 1.0e+00 | NA | NA | NA | NA | NA | NA | NA | NA | NA |
| C-PSO-1000 | 1.0e+00 | 1.0e+00 | NA | NA | NA | NA | NA | NA | NA | NA |
| D-EPUS | 1.0e+00 | 1.0e+00 | 1.0e+00 | NA | NA | NA | NA | NA | NA | NA |
| E-PSOLS-5 | 1.1e-16 | 1.1e-16 | 1.1e-16 | 1.1e-16 | NA | NA | NA | NA | NA | NA |
| F-PSOLS-10 | 1.1e-16 | 1.1e-16 | 1.1e-16 | 1.1e-16 | 1.0e+00 | NA | NA | NA | NA | NA |
| G-PSOLS-20 | 1.1e-16 | 1.1e-16 | 1.1e-16 | 1.1e-16 | 1.0e+00 | 1.0e+00 | NA | NA | NA | NA |
| H-EPUSLS | 1.1e-16 | 1.1e-16 | 1.1e-16 | 1.1e-16 | 1.0e+00 | 1.0e+00 | 1.0e+00 | NA | NA | NA |
| I-RLS | 1.1e-16 | 1.1e-16 | 1.1e-16 | 1.1e-16 | 3.5e-06 | 2.4e-10 | 1.3e-15 | 1.0e+00 | NA | NA |
| J-ISL | 1.1e-16 | 1.1e-16 | 1.1e-16 | 1.1e-16 | 3.5e-06 | 2.4e-10 | 1.3e-15 | 1.0e+00 | 1.0e+00 | NA |
| Z-IPSO | 1.0e+00 | 1.0e+00 | 1.3e-03 | 5.0e-01 | 1.0e+00 | 1.0e+00 | 1.0e+00 | 1.0e+00 | 1.0e+00 | 1.0e+00 |
|
| Ring topology |
| A-PSO-10 | B-PSO-100 | C-PSO-1000 | D-EPUS | E-PSOLS-5 | F-PSOLS-10 | G-PSOLS-20 | H-EPUSLS | I-RLS | J-ISL |
| B-PSO-100 | 1.0e+00 | NA | NA | NA | NA | NA | NA | NA | NA | NA |
| C-PSO-1000 | 1.0e+00 | 1.0e+00 | NA | NA | NA | NA | NA | NA | NA | NA |
| D-EPUS | 1.0e+00 | 1.0e+00 | 6.5e-11 | NA | NA | NA | NA | NA | NA | NA |
| E-PSOLS-5 | 1.1e-16 | 1.1e-16 | 1.1e-16 | 1.1e-16 | NA | NA | NA | NA | NA | NA |
| F-PSOLS-10 | 1.1e-16 | 1.1e-16 | 1.1e-16 | 1.1e-16 | 1.0e+00 | NA | NA | NA | NA | NA |
| G-PSOLS-20 | 1.1e-16 | 1.1e-16 | 1.1e-16 | 1.1e-16 | 1.0e+00 | 1.0e+00 | NA | NA | NA | NA |
| H-EPUSLS | 1.1e-16 | 1.1e-16 | 1.1e-16 | 1.1e-16 | 1.0e+00 | 1.0e+00 | 1.0e+00 | NA | NA | NA |
| I-RLS | 1.1e-16 | 1.1e-16 | 1.1e-16 | 1.1e-16 | 3.2e-06 | 2.3e-10 | 1.2e-15 | 1.0e+00 | NA | NA |
| J-ISL | 1.1e-16 | 1.1e-16 | 1.1e-16 | 1.1e-16 | 3.2e-06 | 2.3e-10 | 1.2e-15 | 1.0e+00 | 1.0e+00 | NA |
| Z-IPSO | 1.0e+00 | 1.0e+00 | 3.1e-16 | 9.2e-04 | 1.0e+00 | 1.0e+00 | 1.0e+00 | 1.0e+00 | 1.0e+00 | 1.0e+00 |
|
| Schwefel function - 100 dimensions |
| Fully-connected topology |
| A-PSO-10 | B-PSO-100 | C-PSO-1000 | D-EPUS | E-PSOLS-5 | F-PSOLS-10 | G-PSOLS-20 | H-EPUSLS | I-RLS | J-ISL |
| B-PSO-100 | 1.0e+00 | NA | NA | NA | NA | NA | NA | NA | NA | NA |
| C-PSO-1000 | 1.0e+00 | 1.0e+00 | NA | NA | NA | NA | NA | NA | NA | NA |
| D-EPUS | 1.0e+00 | 1.0e+00 | 9.5e-10 | NA | NA | NA | NA | NA | NA | NA |
| E-PSOLS-5 | 1.1e-16 | 1.1e-16 | 1.1e-16 | 1.1e-16 | NA | NA | NA | NA | NA | NA |
| F-PSOLS-10 | 1.1e-16 | 1.1e-16 | 1.1e-16 | 1.1e-16 | 1.0e+00 | NA | NA | NA | NA | NA |
| G-PSOLS-20 | 1.1e-16 | 1.1e-16 | 1.1e-16 | 1.1e-16 | 1.0e+00 | 1.0e+00 | NA | NA | NA | NA |
| H-EPUSLS | 1.1e-16 | 1.1e-16 | 1.1e-16 | 1.1e-16 | 1.0e+00 | 1.0e+00 | 1.0e+00 | NA | NA | NA |
| I-RLS | 1.1e-16 | 1.1e-16 | 1.1e-16 | 1.1e-16 | 1.0e+00 | 1.0e+00 | 1.0e+00 | 1.0e+00 | NA | NA |
| J-ISL | 1.1e-16 | 1.1e-16 | 1.1e-16 | 1.1e-16 | 4.9e-05 | 4.9e-05 | 4.9e-05 | 3.7e-04 | 9.5e-05 | NA |
| Z-IPSO | 1.0e+00 | 1.0e+00 | 1.1e-16 | 1.6e-13 | 1.0e+00 | 1.0e+00 | 1.0e+00 | 1.0e+00 | 1.0e+00 | 1.0e+00 |
|
| Ring topology |
| A-PSO-10 | B-PSO-100 | C-PSO-1000 | D-EPUS | E-PSOLS-5 | F-PSOLS-10 | G-PSOLS-20 | H-EPUSLS | I-RLS | J-ISL |
| B-PSO-100 | 1.0e+00 | NA | NA | NA | NA | NA | NA | NA | NA | NA |
| C-PSO-1000 | 1.0e+00 | 1.0e+00 | NA | NA | NA | NA | NA | NA | NA | NA |
| D-EPUS | 1.0e+00 | 1.0e+00 | 3.3e-16 | NA | NA | NA | NA | NA | NA | NA |
| E-PSOLS-5 | 1.1e-16 | 1.1e-16 | 1.1e-16 | 1.1e-16 | NA | NA | NA | NA | NA | NA |
| F-PSOLS-10 | 1.1e-16 | 1.1e-16 | 1.1e-16 | 1.1e-16 | 1.0e+00 | NA | NA | NA | NA | NA |
| G-PSOLS-20 | 1.1e-16 | 1.1e-16 | 1.1e-16 | 1.1e-16 | 1.0e+00 | 1.0e+00 | NA | NA | NA | NA |
| H-EPUSLS | 1.1e-16 | 1.1e-16 | 1.1e-16 | 1.1e-16 | 1.0e+00 | 1.0e+00 | 1.0e+00 | NA | NA | NA |
| I-RLS | 1.1e-16 | 1.1e-16 | 1.1e-16 | 1.1e-16 | 1.0e+00 | 1.0e+00 | 1.0e+00 | 1.0e+00 | NA | NA |
| J-ISL | 1.1e-16 | 1.1e-16 | 1.1e-16 | 1.1e-16 | 4.9e-05 | 4.9e-05 | 4.9e-05 | 3.7e-04 | 9.5e-05 | NA |
| Z-IPSO | 1.0e+00 | 1.3e-03 | 1.1e-16 | 3.4e-05 | 1.0e+00 | 1.0e+00 | 1.0e+00 | 1.0e+00 | 1.0e+00 | 1.0e+00 |
|
| Sphere function - 100 dimensions |
| Fully-connected topology |
| A-PSO-10 | B-PSO-100 | C-PSO-1000 | D-EPUS | E-PSOLS-5 | F-PSOLS-10 | G-PSOLS-20 | H-EPUSLS | I-RLS | J-ISL |
| B-PSO-100 | 1.3e-13 | NA | NA | NA | NA | NA | NA | NA | NA | NA |
| C-PSO-1000 | 1.0e+00 | 1.0e+00 | NA | NA | NA | NA | NA | NA | NA | NA |
| D-EPUS | 1.7e-14 | 1.3e-13 | 1.7e-14 | NA | NA | NA | NA | NA | NA | NA |
| E-PSOLS-5 | 1.1e-16 | 1.1e-16 | 1.1e-16 | 1.1e-16 | NA | NA | NA | NA | NA | NA |
| F-PSOLS-10 | 1.1e-16 | 1.1e-16 | 1.1e-16 | 1.1e-16 | 1.0e+00 | NA | NA | NA | NA | NA |
| G-PSOLS-20 | 1.1e-16 | 1.1e-16 | 1.1e-16 | 1.1e-16 | 1.0e+00 | 1.0e+00 | NA | NA | NA | NA |
| H-EPUSLS | 1.1e-16 | 1.1e-16 | 1.1e-16 | 1.1e-16 | 1.0e+00 | 1.0e+00 | 1.0e+00 | NA | NA | NA |
| I-RLS | 1.1e-16 | 1.1e-16 | 1.1e-16 | 1.1e-16 | 1.0e+00 | 1.0e+00 | 1.0e+00 | 1.1e-16 | NA | NA |
| J-ISL | 1.1e-16 | 1.1e-16 | 1.1e-16 | 1.1e-16 | 1.0e+00 | 1.0e+00 | 1.0e+00 | 1.1e-16 | 1.0e+00 | NA |
| Z-IPSO | 1.1e-16 | 1.9e-16 | 1.1e-16 | 1.0e+00 | 1.0e+00 | 1.0e+00 | 1.0e+00 | 1.0e+00 | 1.0e+00 | 1.0e+00 |
|
| Ring topology |
| A-PSO-10 | B-PSO-100 | C-PSO-1000 | D-EPUS | E-PSOLS-5 | F-PSOLS-10 | G-PSOLS-20 | H-EPUSLS | I-RLS | J-ISL |
| B-PSO-100 | 1.0e+00 | NA | NA | NA | NA | NA | NA | NA | NA | NA |
| C-PSO-1000 | 1.0e+00 | 1.0e+00 | NA | NA | NA | NA | NA | NA | NA | NA |
| D-EPUS | 1.0e+00 | 1.1e-16 | 1.1e-16 | NA | NA | NA | NA | NA | NA | NA |
| E-PSOLS-5 | 1.1e-16 | 1.1e-16 | 1.1e-16 | 1.1e-16 | NA | NA | NA | NA | NA | NA |
| F-PSOLS-10 | 1.1e-16 | 1.1e-16 | 1.1e-16 | 1.1e-16 | 1.0e+00 | NA | NA | NA | NA | NA |
| G-PSOLS-20 | 1.1e-16 | 1.1e-16 | 1.1e-16 | 1.1e-16 | 1.0e+00 | 1.0e+00 | NA | NA | NA | NA |
| H-EPUSLS | 1.1e-16 | 1.1e-16 | 1.1e-16 | 1.1e-16 | 1.0e+00 | 1.0e+00 | 1.0e+00 | NA | NA | NA |
| I-RLS | 1.1e-16 | 1.1e-16 | 1.1e-16 | 1.1e-16 | 1.0e+00 | 1.0e+00 | 1.0e+00 | 1.1e-16 | NA | NA |
| J-ISL | 1.1e-16 | 1.1e-16 | 1.1e-16 | 1.1e-16 | 1.0e+00 | 1.0e+00 | 1.0e+00 | 1.1e-16 | 1.0e+00 | NA |
| Z-IPSO | 1.0e+00 | 1.1e-16 | 1.1e-16 | 1.0e+00 | 1.0e+00 | 1.0e+00 | 1.0e+00 | 1.0e+00 | 1.0e+00 | 1.0e+00 |
|
| Step function - 100 dimensions |
| Fully-connected topology |
| A-PSO-10 | B-PSO-100 | C-PSO-1000 | D-EPUS | E-PSOLS-5 | F-PSOLS-10 | G-PSOLS-20 | H-EPUSLS | I-RLS | J-ISL |
| B-PSO-100 | 1.1e-16 | NA | NA | NA | NA | NA | NA | NA | NA | NA |
| C-PSO-1000 | 3.9e-01 | 1.0e+00 | NA | NA | NA | NA | NA | NA | NA | NA |
| D-EPUS | 1.0e+00 | 1.0e+00 | 1.0e+00 | NA | NA | NA | NA | NA | NA | NA |
| E-PSOLS-5 | 1.1e-16 | 4.0e-03 | 1.1e-16 | 1.1e-16 | NA | NA | NA | NA | NA | NA |
| F-PSOLS-10 | 1.1e-16 | 4.0e-03 | 1.1e-16 | 1.1e-16 | 1.0e+00 | NA | NA | NA | NA | NA |
| G-PSOLS-20 | 1.1e-16 | 4.0e-03 | 1.1e-16 | 1.1e-16 | 1.0e+00 | 1.0e+00 | NA | NA | NA | NA |
| H-EPUSLS | 1.1e-16 | 2.2e-03 | 1.1e-16 | 1.1e-16 | 1.0e+00 | 1.0e+00 | 1.0e+00 | NA | NA | NA |
| I-RLS | 1.1e-16 | 4.0e-03 | 1.1e-16 | 1.1e-16 | 1.0e+00 | 1.0e+00 | 1.0e+00 | 1.0e+00 | NA | NA |
| J-ISL | 1.1e-16 | 1.0e-05 | 1.1e-16 | 1.1e-16 | 4.3e-03 | 4.3e-03 | 4.3e-03 | 6.9e-01 | 4.3e-03 | NA |
| Z-IPSO | 1.9e-16 | 1.0e+00 | 1.1e-16 | 1.1e-16 | 1.0e+00 | 1.0e+00 | 1.0e+00 | 1.0e+00 | 1.0e+00 | 1.0e+00 |
|
| Ring topology |
| A-PSO-10 | B-PSO-100 | C-PSO-1000 | D-EPUS | E-PSOLS-5 | F-PSOLS-10 | G-PSOLS-20 | H-EPUSLS | I-RLS | J-ISL |
| B-PSO-100 | 1.1e-16 | NA | NA | NA | NA | NA | NA | NA | NA | NA |
| C-PSO-1000 | 1.0e+00 | 1.0e+00 | NA | NA | NA | NA | NA | NA | NA | NA |
| D-EPUS | 1.0e+00 | 1.0e+00 | 1.0e+00 | NA | NA | NA | NA | NA | NA | NA |
| E-PSOLS-5 | 1.8e-15 | 1.0e+00 | 1.1e-16 | 1.1e-16 | NA | NA | NA | NA | NA | NA |
| F-PSOLS-10 | 1.8e-15 | 1.0e+00 | 1.1e-16 | 1.1e-16 | 1.0e+00 | NA | NA | NA | NA | NA |
| G-PSOLS-20 | 1.8e-15 | 1.0e+00 | 1.1e-16 | 1.1e-16 | 1.0e+00 | 1.0e+00 | NA | NA | NA | NA |
| H-EPUSLS | 1.2e-15 | 1.0e+00 | 1.1e-16 | 1.1e-16 | 1.0e+00 | 1.0e+00 | 1.0e+00 | NA | NA | NA |
| I-RLS | 1.8e-15 | 1.0e+00 | 1.1e-16 | 1.1e-16 | 1.0e+00 | 1.0e+00 | 1.0e+00 | 1.0e+00 | NA | NA |
| J-ISL | 6.4e-16 | 1.0e+00 | 1.1e-16 | 1.1e-16 | 4.3e-03 | 4.3e-03 | 4.3e-03 | 6.9e-01 | 4.3e-03 | NA |
| Z-IPSO | 1.1e-16 | 2.4e-01 | 1.1e-16 | 1.1e-16 | 1.1e-16 | 1.1e-16 | 1.1e-16 | 1.1e-16 | 1.1e-16 | 1.8e-16 |
|
| Weierstrass function - 100 dimensions |
| Fully-connected topology |
| A-PSO-10 | B-PSO-100 | C-PSO-1000 | D-EPUS | E-PSOLS-5 | F-PSOLS-10 | G-PSOLS-20 | H-EPUSLS | I-RLS | J-ISL |
| B-PSO-100 | 1.0e+00 | NA | NA | NA | NA | NA | NA | NA | NA | NA |
| C-PSO-1000 | 1.0e+00 | 1.0e+00 | NA | NA | NA | NA | NA | NA | NA | NA |
| D-EPUS | 1.0e+00 | 2.0e-02 | 4.0e-16 | NA | NA | NA | NA | NA | NA | NA |
| E-PSOLS-5 | 1.1e-16 | 1.1e-16 | 1.1e-16 | 1.1e-16 | NA | NA | NA | NA | NA | NA |
| F-PSOLS-10 | 1.1e-16 | 1.1e-16 | 1.1e-16 | 1.1e-16 | 1.0e+00 | NA | NA | NA | NA | NA |
| G-PSOLS-20 | 1.1e-16 | 1.1e-16 | 1.1e-16 | 1.1e-16 | 1.0e+00 | 1.0e+00 | NA | NA | NA | NA |
| H-EPUSLS | 1.1e-16 | 1.1e-16 | 1.1e-16 | 1.1e-16 | 1.0e+00 | 1.0e+00 | 1.0e+00 | NA | NA | NA |
| I-RLS | 1.1e-16 | 1.1e-16 | 1.1e-16 | 1.1e-16 | 2.7e-02 | 1.1e-03 | 5.3e-06 | 1.0e+00 | NA | NA |
| J-ISL | 1.1e-16 | 1.1e-16 | 1.1e-16 | 1.1e-16 | 2.5e-01 | 1.6e-03 | 6.3e-05 | 1.0e+00 | 1.0e+00 | NA |
| Z-IPSO | 2.0e-04 | 1.9e-16 | 1.1e-16 | 1.9e-04 | 1.0e+00 | 1.0e+00 | 1.0e+00 | 1.0e+00 | 1.0e+00 | 1.0e+00 |
|
| Ring topology |
| A-PSO-10 | B-PSO-100 | C-PSO-1000 | D-EPUS | E-PSOLS-5 | F-PSOLS-10 | G-PSOLS-20 | H-EPUSLS | I-RLS | J-ISL |
| B-PSO-100 | 1.0e+00 | NA | NA | NA | NA | NA | NA | NA | NA | NA |
| C-PSO-1000 | 1.0e+00 | 1.0e+00 | NA | NA | NA | NA | NA | NA | NA | NA |
| D-EPUS | 1.0e+00 | 2.1e-13 | 1.1e-16 | NA | NA | NA | NA | NA | NA | NA |
| E-PSOLS-5 | 1.1e-16 | 1.1e-16 | 1.1e-16 | 1.1e-16 | NA | NA | NA | NA | NA | NA |
| F-PSOLS-10 | 1.1e-16 | 1.1e-16 | 1.1e-16 | 1.1e-16 | 1.0e+00 | NA | NA | NA | NA | NA |
| G-PSOLS-20 | 1.1e-16 | 1.1e-16 | 1.1e-16 | 1.1e-16 | 1.0e+00 | 1.0e+00 | NA | NA | NA | NA |
| H-EPUSLS | 1.1e-16 | 1.1e-16 | 1.1e-16 | 1.1e-16 | 1.0e+00 | 1.0e+00 | 1.0e+00 | NA | NA | NA |
| I-RLS | 1.1e-16 | 1.1e-16 | 1.1e-16 | 1.1e-16 | 3.2e-02 | 1.2e-03 | 5.2e-06 | 1.0e+00 | NA | NA |
| J-ISL | 1.1e-16 | 1.1e-16 | 1.1e-16 | 1.1e-16 | 1.0e+00 | 1.0e+00 | 1.0e+00 | 1.0e+00 | 1.0e+00 | NA |
| Z-IPSO | 1.0e+00 | 1.5e-16 | 1.1e-16 | 1.0e+00 | 1.0e+00 | 1.0e+00 | 1.0e+00 | 1.0e+00 | 1.0e+00 | 1.0e+00 |
|
Differences after 100,000 function evaluations
| Ackley function - 100 dimensions |
| Fully-connected topology |
| A-PSO-10 | B-PSO-100 | C-PSO-1000 | D-EPUS | E-PSOLS-5 | F-PSOLS-10 | G-PSOLS-20 | H-EPUSLS | I-RLS | J-ISL |
| B-PSO-100 | 6.2e-16 | NA | NA | NA | NA | NA | NA | NA | NA | NA |
| C-PSO-1000 | 3.8e-16 | 1.0e+00 | NA | NA | NA | NA | NA | NA | NA | NA |
| D-EPUS | 1.0e+00 | 1.0e+00 | 1.0e+00 | NA | NA | NA | NA | NA | NA | NA |
| E-PSOLS-5 | 4.1e-01 | 1.0e+00 | 1.0e+00 | 1.0e+00 | NA | NA | NA | NA | NA | NA |
| F-PSOLS-10 | 1.6e-06 | 1.0e+00 | 1.0e+00 | 2.4e-03 | 1.5e-10 | NA | NA | NA | NA | NA |
| G-PSOLS-20 | 4.1e-12 | 1.0e+00 | 1.0e+00 | 2.7e-12 | 2.3e-14 | 1.5e-09 | NA | NA | NA | NA |
| H-EPUSLS | 5.5e-04 | 1.0e+00 | 1.0e+00 | 4.3e-05 | 2.0e-02 | 1.0e+00 | 1.0e+00 | NA | NA | NA |
| I-RLS | 1.7e-14 | 2.9e-02 | 2.1e-01 | 1.7e-14 | 2.7e-12 | 1.2e-06 | 1.0e+00 | 1.6e-05 | NA | NA |
| J-ISL | 1.1e-16 | 1.1e-16 | 1.1e-16 | 1.1e-16 | 3.1e-16 | 8.0e-15 | 1.9e-12 | 2.3e-14 | 8.4e-16 | NA |
| Z-IPSO | 2.3e-14 | 1.0e+00 | 1.0e+00 | 4.5e-14 | 2.9e-06 | 4.7e-01 | 1.0e+00 | 1.0e+00 | 1.0e+00 | 1.0e+00 |
|
| Ring topology |
| A-PSO-10 | B-PSO-100 | C-PSO-1000 | D-EPUS | E-PSOLS-5 | F-PSOLS-10 | G-PSOLS-20 | H-EPUSLS | I-RLS | J-ISL |
| B-PSO-100 | 1.1e-16 | NA | NA | NA | NA | NA | NA | NA | NA | NA |
| C-PSO-1000 | 1.0e+00 | 1.0e+00 | NA | NA | NA | NA | NA | NA | NA | NA |
| D-EPUS | 1.0e+00 | 1.0e+00 | 3.0e-03 | NA | NA | NA | NA | NA | NA | NA |
| E-PSOLS-5 | 1.0e+00 | 1.0e+00 | 1.4e-03 | 1.0e+00 | NA | NA | NA | NA | NA | NA |
| F-PSOLS-10 | 1.0e+00 | 1.0e+00 | 7.8e-08 | 3.0e-03 | 4.7e-10 | NA | NA | NA | NA | NA |
| G-PSOLS-20 | 1.1e-05 | 1.0e+00 | 4.6e-14 | 1.2e-10 | 2.7e-14 | 4.0e-09 | NA | NA | NA | NA |
| H-EPUSLS | 1.0e+00 | 1.0e+00 | 1.5e-09 | 8.6e-05 | 1.4e-02 | 1.0e+00 | 1.0e+00 | NA | NA | NA |
| I-RLS | 1.2e-10 | 1.0e+00 | 7.1e-16 | 2.6e-12 | 2.2e-12 | 9.0e-07 | 1.0e+00 | 1.2e-05 | NA | NA |
| J-ISL | 1.1e-16 | 1.1e-16 | 1.1e-16 | 1.1e-16 | 1.7e-16 | 1.7e-15 | 1.5e-14 | 2.6e-14 | 5.8e-16 | NA |
| Z-IPSO | 1.3e-16 | 1.0e+00 | 1.1e-16 | 4.2e-13 | 1.7e-10 | 1.0e-04 | 1.0e+00 | 9.0e-04 | 1.0e+00 | 1.0e+00 |
|
| Griewank function - 100 dimensions |
| Fully-connected topology |
| A-PSO-10 | B-PSO-100 | C-PSO-1000 | D-EPUS | E-PSOLS-5 | F-PSOLS-10 | G-PSOLS-20 | H-EPUSLS | I-RLS | J-ISL |
| B-PSO-100 | 1.1e-16 | NA | NA | NA | NA | NA | NA | NA | NA | NA |
| C-PSO-1000 | 2.2e-15 | 1.0e+00 | NA | NA | NA | NA | NA | NA | NA | NA |
| D-EPUS | 9.0e-08 | 8.5e-07 | 8.5e-07 | NA | NA | NA | NA | NA | NA | NA |
| E-PSOLS-5 | 1.1e-16 | 1.1e-16 | 1.1e-16 | 5.1e-16 | NA | NA | NA | NA | NA | NA |
| F-PSOLS-10 | 1.1e-16 | 1.1e-16 | 1.1e-16 | 1.9e-16 | 7.8e-01 | NA | NA | NA | NA | NA |
| G-PSOLS-20 | 1.1e-16 | 1.1e-16 | 1.1e-16 | 1.1e-16 | 6.8e-01 | 1.0e+00 | NA | NA | NA | NA |
| H-EPUSLS | 1.1e-16 | 1.9e-16 | 1.1e-16 | 1.0e+00 | 1.0e+00 | 1.0e+00 | 1.0e+00 | NA | NA | NA |
| I-RLS | 1.1e-16 | 1.1e-16 | 1.1e-16 | 8.0e-16 | 1.0e+00 | 1.0e+00 | 1.0e+00 | 2.1e-16 | NA | NA |
| J-ISL | 1.1e-16 | 1.1e-16 | 1.1e-16 | 1.1e-16 | 6.8e-01 | 1.0e+00 | 1.0e+00 | 1.1e-16 | 1.0e+00 | NA |
| Z-IPSO | 1.1e-16 | 1.0e+00 | 1.1e-16 | 1.0e+00 | 1.0e+00 | 1.0e+00 | 1.0e+00 | 1.0e+00 | 1.0e+00 | 1.0e+00 |
|
| Ring topology |
| A-PSO-10 | B-PSO-100 | C-PSO-1000 | D-EPUS | E-PSOLS-5 | F-PSOLS-10 | G-PSOLS-20 | H-EPUSLS | I-RLS | J-ISL |
| B-PSO-100 | 2.5e-04 | NA | NA | NA | NA | NA | NA | NA | NA | NA |
| C-PSO-1000 | 1.0e+00 | 1.0e+00 | NA | NA | NA | NA | NA | NA | NA | NA |
| D-EPUS | 1.9e-12 | 1.8e-14 | 1.1e-16 | NA | NA | NA | NA | NA | NA | NA |
| E-PSOLS-5 | 1.1e-16 | 1.1e-16 | 1.1e-16 | 1.1e-16 | NA | NA | NA | NA | NA | NA |
| F-PSOLS-10 | 1.1e-16 | 1.1e-16 | 1.1e-16 | 1.1e-16 | 7.1e-01 | NA | NA | NA | NA | NA |
| G-PSOLS-20 | 1.1e-16 | 1.1e-16 | 1.1e-16 | 1.1e-16 | 7.1e-01 | 1.0e+00 | NA | NA | NA | NA |
| H-EPUSLS | 2.0e-16 | 1.1e-16 | 1.1e-16 | 7.3e-11 | 1.0e+00 | 1.0e+00 | 1.0e+00 | NA | NA | NA |
| I-RLS | 1.1e-16 | 1.1e-16 | 1.1e-16 | 1.1e-16 | 1.0e+00 | 1.0e+00 | 1.0e+00 | 2.0e-16 | NA | NA |
| J-ISL | 1.1e-16 | 1.1e-16 | 1.1e-16 | 1.1e-16 | 7.1e-01 | 1.0e+00 | 1.0e+00 | 1.1e-16 | 1.0e+00 | NA |
| Z-IPSO | 1.0e+00 | 1.0e+00 | 1.1e-16 | 1.0e+00 | 1.0e+00 | 1.0e+00 | 1.0e+00 | 1.0e+00 | 1.0e+00 | 1.0e+00 |
|
| Rastrigin function - 100 dimensions |
| Fully-connected topology |
| A-PSO-10 | B-PSO-100 | C-PSO-1000 | D-EPUS | E-PSOLS-5 | F-PSOLS-10 | G-PSOLS-20 | H-EPUSLS | I-RLS | J-ISL |
| B-PSO-100 | 1.1e-16 | NA | NA | NA | NA | NA | NA | NA | NA | NA |
| C-PSO-1000 | 7.6e-13 | 1.0e+00 | NA | NA | NA | NA | NA | NA | NA | NA |
| D-EPUS | 6.7e-02 | 1.0e+00 | 1.0e+00 | NA | NA | NA | NA | NA | NA | NA |
| E-PSOLS-5 | 1.1e-16 | 1.1e-16 | 1.1e-16 | 1.1e-16 | NA | NA | NA | NA | NA | NA |
| F-PSOLS-10 | 1.1e-16 | 1.1e-16 | 1.1e-16 | 1.1e-16 | 4.8e-09 | NA | NA | NA | NA | NA |
| G-PSOLS-20 | 1.1e-16 | 1.1e-16 | 1.1e-16 | 1.1e-16 | 5.6e-12 | 3.2e-07 | NA | NA | NA | NA |
| H-EPUSLS | 1.1e-16 | 1.3e-16 | 1.1e-16 | 1.1e-16 | 1.0e+00 | 1.0e+00 | 1.0e+00 | NA | NA | NA |
| I-RLS | 1.1e-16 | 1.1e-16 | 1.1e-16 | 1.1e-16 | 2.0e-10 | 7.4e-05 | 5.5e-01 | 1.4e-15 | NA | NA |
| J-ISL | 1.1e-16 | 1.1e-16 | 1.1e-16 | 1.1e-16 | 1.1e-16 | 1.1e-16 | 1.1e-16 | 1.1e-16 | 1.1e-16 | NA |
| Z-IPSO | 1.1e-16 | 1.0e+00 | 5.2e-11 | 8.9e-16 | 1.0e+00 | 1.0e+00 | 1.0e+00 | 1.0e+00 | 1.0e+00 | 1.0e+00 |
|
| Ring topology |
| A-PSO-10 | B-PSO-100 | C-PSO-1000 | D-EPUS | E-PSOLS-5 | F-PSOLS-10 | G-PSOLS-20 | H-EPUSLS | I-RLS | J-ISL |
| B-PSO-100 | 1.5e-10 | NA | NA | NA | NA | NA | NA | NA | NA | NA |
| C-PSO-1000 | 1.0e+00 | 1.0e+00 | NA | NA | NA | NA | NA | NA | NA | NA |
| D-EPUS | 4.6e-09 | 5.6e-01 | 1.1e-16 | NA | NA | NA | NA | NA | NA | NA |
| E-PSOLS-5 | 1.1e-16 | 1.1e-16 | 1.1e-16 | 1.1e-16 | NA | NA | NA | NA | NA | NA |
| F-PSOLS-10 | 1.1e-16 | 1.1e-16 | 1.1e-16 | 1.1e-16 | 3.6e-09 | NA | NA | NA | NA | NA |
| G-PSOLS-20 | 1.1e-16 | 1.1e-16 | 1.1e-16 | 1.1e-16 | 6.1e-12 | 5.2e-07 | NA | NA | NA | NA |
| H-EPUSLS | 1.1e-16 | 1.1e-16 | 1.1e-16 | 1.1e-16 | 1.0e+00 | 1.0e+00 | 1.0e+00 | NA | NA | NA |
| I-RLS | 1.1e-16 | 1.1e-16 | 1.1e-16 | 1.1e-16 | 2.2e-10 | 9.3e-05 | 5.9e-01 | 9.8e-16 | NA | NA |
| J-ISL | 1.1e-16 | 1.1e-16 | 1.1e-16 | 1.1e-16 | 1.1e-16 | 1.1e-16 | 1.1e-16 | 1.1e-16 | 1.1e-16 | NA |
| Z-IPSO | 1.0e+00 | 1.0e+00 | 1.1e-16 | 1.0e+00 | 1.0e+00 | 1.0e+00 | 1.0e+00 | 1.0e+00 | 1.0e+00 | 1.0e+00 |
|
| Rosenbrock function - 100 dimensions |
| Fully-connected topology |
| A-PSO-10 | B-PSO-100 | C-PSO-1000 | D-EPUS | E-PSOLS-5 | F-PSOLS-10 | G-PSOLS-20 | H-EPUSLS | I-RLS | J-ISL |
| B-PSO-100 | 1.1e-16 | NA | NA | NA | NA | NA | NA | NA | NA | NA |
| C-PSO-1000 | 2.7e-14 | 1.0e+00 | NA | NA | NA | NA | NA | NA | NA | NA |
| D-EPUS | 1.1e-16 | 3.5e-14 | 1.1e-16 | NA | NA | NA | NA | NA | NA | NA |
| E-PSOLS-5 | 1.1e-16 | 1.1e-16 | 1.1e-16 | 1.1e-16 | NA | NA | NA | NA | NA | NA |
| F-PSOLS-10 | 1.1e-16 | 1.1e-16 | 1.1e-16 | 1.1e-16 | 1.0e+00 | NA | NA | NA | NA | NA |
| G-PSOLS-20 | 1.1e-16 | 1.1e-16 | 1.1e-16 | 1.1e-16 | 1.0e+00 | 1.0e+00 | NA | NA | NA | NA |
| H-EPUSLS | 1.1e-16 | 1.1e-16 | 1.1e-16 | 1.1e-16 | 1.5e-01 | 9.5e-07 | 9.5e-07 | NA | NA | NA |
| I-RLS | 1.1e-16 | 1.1e-16 | 1.1e-16 | 1.1e-16 | 1.0e+00 | 1.0e+00 | 1.0e+00 | 1.0e+00 | NA | NA |
| J-ISL | 1.1e-16 | 1.1e-16 | 1.1e-16 | 1.1e-16 | 4.1e-03 | 8.5e-13 | 8.5e-13 | 1.0e+00 | 1.2e-12 | NA |
| Z-IPSO | 1.1e-16 | 1.0e+00 | 1.1e-16 | 1.0e+00 | 1.0e+00 | 1.0e+00 | 1.0e+00 | 1.0e+00 | 1.0e+00 | 1.0e+00 |
|
| Ring topology |
| A-PSO-10 | B-PSO-100 | C-PSO-1000 | D-EPUS | E-PSOLS-5 | F-PSOLS-10 | G-PSOLS-20 | H-EPUSLS | I-RLS | J-ISL |
| B-PSO-100 | 1.5e-01 | NA | NA | NA | NA | NA | NA | NA | NA | NA |
| C-PSO-1000 | 1.0e+00 | 1.0e+00 | NA | NA | NA | NA | NA | NA | NA | NA |
| D-EPUS | 8.3e-07 | 2.0e-16 | 1.1e-16 | NA | NA | NA | NA | NA | NA | NA |
| E-PSOLS-5 | 1.1e-16 | 1.1e-16 | 1.1e-16 | 1.1e-16 | NA | NA | NA | NA | NA | NA |
| F-PSOLS-10 | 1.1e-16 | 1.1e-16 | 1.1e-16 | 1.1e-16 | 1.0e+00 | NA | NA | NA | NA | NA |
| G-PSOLS-20 | 1.1e-16 | 1.1e-16 | 1.1e-16 | 1.1e-16 | 1.0e+00 | 1.0e+00 | NA | NA | NA | NA |
| H-EPUSLS | 1.1e-16 | 1.1e-16 | 1.1e-16 | 1.1e-16 | 1.6e-01 | 1.1e-06 | 1.1e-06 | NA | NA | NA |
| I-RLS | 1.1e-16 | 1.1e-16 | 1.1e-16 | 1.1e-16 | 1.0e+00 | 1.0e+00 | 1.0e+00 | 1.0e+00 | NA | NA |
| J-ISL | 1.1e-16 | 1.1e-16 | 1.1e-16 | 1.1e-16 | 4.7e-03 | 9.9e-13 | 9.9e-13 | 1.0e+00 | 1.5e-12 | NA |
| Z-IPSO | 1.0e+00 | 1.0e+00 | 1.1e-16 | 1.0e+00 | 1.0e+00 | 1.0e+00 | 1.0e+00 | 1.0e+00 | 1.0e+00 | 1.0e+00 |
|
| Salomon function - 100 dimensions |
| Fully-connected topology |
| A-PSO-10 | B-PSO-100 | C-PSO-1000 | D-EPUS | E-PSOLS-5 | F-PSOLS-10 | G-PSOLS-20 | H-EPUSLS | I-RLS | J-ISL |
| B-PSO-100 | 1.1e-16 | NA | NA | NA | NA | NA | NA | NA | NA | NA |
| C-PSO-1000 | 1.1e-16 | 1.0e+00 | NA | NA | NA | NA | NA | NA | NA | NA |
| D-EPUS | 2.0e-14 | 1.0e+00 | 1.0e+00 | NA | NA | NA | NA | NA | NA | NA |
| E-PSOLS-5 | 1.1e-16 | 1.0e+00 | 3.2e-02 | 1.0e+00 | NA | NA | NA | NA | NA | NA |
| F-PSOLS-10 | 7.5e-12 | 1.0e+00 | 1.0e+00 | 1.0e+00 | 1.0e+00 | NA | NA | NA | NA | NA |
| G-PSOLS-20 | 7.5e-12 | 1.0e+00 | 1.0e+00 | 1.0e+00 | 1.0e+00 | 1.0e+00 | NA | NA | NA | NA |
| H-EPUSLS | 1.1e-16 | 1.0e+00 | 1.1e-16 | 1.3e-07 | 4.0e-14 | 1.1e-16 | 1.1e-16 | NA | NA | NA |
| I-RLS | 8.6e-12 | 1.0e+00 | 1.0e+00 | 1.0e+00 | 1.0e+00 | 1.0e+00 | 1.0e+00 | 1.0e+00 | NA | NA |
| J-ISL | 1.1e-16 | 1.0e+00 | 1.1e-16 | 8.1e-10 | 1.1e-16 | 1.1e-16 | 1.1e-16 | 2.8e-03 | 1.1e-16 | NA |
| Z-IPSO | 1.1e-16 | 2.0e-06 | 1.1e-16 | 1.1e-16 | 1.1e-16 | 1.1e-16 | 1.1e-16 | 1.1e-16 | 1.1e-16 | 1.1e-16 |
|
| Ring topology |
| A-PSO-10 | B-PSO-100 | C-PSO-1000 | D-EPUS | E-PSOLS-5 | F-PSOLS-10 | G-PSOLS-20 | H-EPUSLS | I-RLS | J-ISL |
| B-PSO-100 | 5.5e-14 | NA | NA | NA | NA | NA | NA | NA | NA | NA |
| C-PSO-1000 | 1.0e+00 | 1.0e+00 | NA | NA | NA | NA | NA | NA | NA | NA |
| D-EPUS | 2.1e-09 | 1.0e+00 | 1.1e-16 | NA | NA | NA | NA | NA | NA | NA |
| E-PSOLS-5 | 1.0e+00 | 1.0e+00 | 1.1e-16 | 1.0e+00 | NA | NA | NA | NA | NA | NA |
| F-PSOLS-10 | 1.0e+00 | 1.0e+00 | 1.1e-16 | 1.0e+00 | 1.0e+00 | NA | NA | NA | NA | NA |
| G-PSOLS-20 | 1.0e+00 | 1.0e+00 | 1.1e-16 | 1.0e+00 | 1.0e+00 | 1.0e+00 | NA | NA | NA | NA |
| H-EPUSLS | 1.6e-09 | 1.0e+00 | 1.1e-16 | 1.0e+00 | 3.3e-13 | 1.1e-16 | 1.1e-16 | NA | NA | NA |
| I-RLS | 1.0e+00 | 1.0e+00 | 1.1e-16 | 1.0e+00 | 1.0e+00 | 1.0e+00 | 1.0e+00 | 1.0e+00 | NA | NA |
| J-ISL | 5.5e-13 | 1.0e+00 | 1.1e-16 | 6.5e-03 | 1.1e-16 | 1.1e-16 | 1.1e-16 | 1.6e-03 | 1.1e-16 | NA |
| Z-IPSO | 1.0e+00 | 1.0e+00 | 1.1e-16 | 1.0e+00 | 1.0e+00 | 1.1e-16 | 1.1e-16 | 1.0e+00 | 1.1e-16 | 1.0e+00 |
|
| Schaffer function - 100 dimensions |
| Fully-connected topology |
| A-PSO-10 | B-PSO-100 | C-PSO-1000 | D-EPUS | E-PSOLS-5 | F-PSOLS-10 | G-PSOLS-20 | H-EPUSLS | I-RLS | J-ISL |
| B-PSO-100 | 1.0e+00 | NA | NA | NA | NA | NA | NA | NA | NA | NA |
| C-PSO-1000 | 1.0e+00 | 1.0e+00 | NA | NA | NA | NA | NA | NA | NA | NA |
| D-EPUS | 1.0e+00 | 1.0e+00 | 4.2e-04 | NA | NA | NA | NA | NA | NA | NA |
| E-PSOLS-5 | 1.1e-16 | 1.1e-16 | 1.1e-16 | 1.1e-16 | NA | NA | NA | NA | NA | NA |
| F-PSOLS-10 | 1.1e-16 | 1.1e-16 | 1.1e-16 | 1.1e-16 | 1.0e+00 | NA | NA | NA | NA | NA |
| G-PSOLS-20 | 1.1e-16 | 1.1e-16 | 1.1e-16 | 1.1e-16 | 1.0e+00 | 1.0e+00 | NA | NA | NA | NA |
| H-EPUSLS | 1.1e-16 | 1.1e-16 | 1.1e-16 | 1.1e-16 | 3.9e-16 | 1.1e-16 | 1.1e-16 | NA | NA | NA |
| I-RLS | 1.1e-16 | 1.1e-16 | 1.1e-16 | 1.1e-16 | 1.0e+00 | 1.0e+00 | 1.0e+00 | 1.0e+00 | NA | NA |
| J-ISL | 1.1e-16 | 1.1e-16 | 1.1e-16 | 1.1e-16 | 1.1e-16 | 1.1e-16 | 1.1e-16 | 1.0e+00 | 1.1e-16 | NA |
| Z-IPSO | 1.0e+00 | 1.0e+00 | 2.0e-06 | 1.0e+00 | 1.0e+00 | 1.0e+00 | 1.0e+00 | 1.0e+00 | 1.0e+00 | 1.0e+00 |
|
| Ring topology |
| A-PSO-10 | B-PSO-100 | C-PSO-1000 | D-EPUS | E-PSOLS-5 | F-PSOLS-10 | G-PSOLS-20 | H-EPUSLS | I-RLS | J-ISL |
| B-PSO-100 | 1.0e+00 | NA | NA | NA | NA | NA | NA | NA | NA | NA |
| C-PSO-1000 | 1.0e+00 | 1.0e+00 | NA | NA | NA | NA | NA | NA | NA | NA |
| D-EPUS | 1.0e+00 | 1.0e+00 | 4.8e-10 | NA | NA | NA | NA | NA | NA | NA |
| E-PSOLS-5 | 1.1e-16 | 1.1e-16 | 1.1e-16 | 1.1e-16 | NA | NA | NA | NA | NA | NA |
| F-PSOLS-10 | 1.1e-16 | 1.1e-16 | 1.1e-16 | 1.1e-16 | 1.0e+00 | NA | NA | NA | NA | NA |
| G-PSOLS-20 | 1.1e-16 | 1.1e-16 | 1.1e-16 | 1.1e-16 | 1.0e+00 | 1.0e+00 | NA | NA | NA | NA |
| H-EPUSLS | 1.1e-16 | 1.1e-16 | 1.1e-16 | 1.1e-16 | 3.9e-16 | 1.1e-16 | 1.1e-16 | NA | NA | NA |
| I-RLS | 1.1e-16 | 1.1e-16 | 1.1e-16 | 1.1e-16 | 1.0e+00 | 1.0e+00 | 1.0e+00 | 1.0e+00 | NA | NA |
| J-ISL | 1.1e-16 | 1.1e-16 | 1.1e-16 | 1.1e-16 | 1.1e-16 | 1.1e-16 | 1.1e-16 | 1.0e+00 | 1.1e-16 | NA |
| Z-IPSO | 1.0e+00 | 1.0e+00 | 2.0e-13 | 8.6e-01 | 1.0e+00 | 1.0e+00 | 1.0e+00 | 1.0e+00 | 1.0e+00 | 1.0e+00 |
|
| Schwefel function - 100 dimensions |
| Fully-connected topology |
| A-PSO-10 | B-PSO-100 | C-PSO-1000 | D-EPUS | E-PSOLS-5 | F-PSOLS-10 | G-PSOLS-20 | H-EPUSLS | I-RLS | J-ISL |
| B-PSO-100 | 1.1e-16 | NA | NA | NA | NA | NA | NA | NA | NA | NA |
| C-PSO-1000 | 3.1e-12 | 1.0e+00 | NA | NA | NA | NA | NA | NA | NA | NA |
| D-EPUS | 1.0e+00 | 1.0e+00 | 1.0e+00 | NA | NA | NA | NA | NA | NA | NA |
| E-PSOLS-5 | 1.1e-16 | 1.1e-16 | 1.1e-16 | 1.1e-16 | NA | NA | NA | NA | NA | NA |
| F-PSOLS-10 | 1.1e-16 | 1.1e-16 | 1.1e-16 | 1.1e-16 | 1.2e-07 | NA | NA | NA | NA | NA |
| G-PSOLS-20 | 1.1e-16 | 1.1e-16 | 1.1e-16 | 1.1e-16 | 1.5e-11 | 8.2e-04 | NA | NA | NA | NA |
| H-EPUSLS | 1.1e-16 | 1.1e-16 | 1.1e-16 | 1.1e-16 | 1.0e+00 | 1.0e+00 | 1.0e+00 | NA | NA | NA |
| I-RLS | 1.1e-16 | 1.1e-16 | 1.1e-16 | 1.1e-16 | 1.2e-10 | 1.7e-05 | 1.0e+00 | 9.6e-16 | NA | NA |
| J-ISL | 1.1e-16 | 1.1e-16 | 1.1e-16 | 1.1e-16 | 1.1e-16 | 1.1e-16 | 1.1e-16 | 1.1e-16 | 1.1e-16 | NA |
| Z-IPSO | 8.8e-13 | 1.0e+00 | 3.9e-01 | 2.1e-13 | 1.0e+00 | 1.0e+00 | 1.0e+00 | 1.0e+00 | 1.0e+00 | 1.0e+00 |
|
| Ring topology |
| A-PSO-10 | B-PSO-100 | C-PSO-1000 | D-EPUS | E-PSOLS-5 | F-PSOLS-10 | G-PSOLS-20 | H-EPUSLS | I-RLS | J-ISL |
| B-PSO-100 | 1.4e-02 | NA | NA | NA | NA | NA | NA | NA | NA | NA |
| C-PSO-1000 | 1.0e+00 | 1.0e+00 | NA | NA | NA | NA | NA | NA | NA | NA |
| D-EPUS | 1.2e-04 | 1.2e-01 | 4.6e-16 | NA | NA | NA | NA | NA | NA | NA |
| E-PSOLS-5 | 1.1e-16 | 1.1e-16 | 1.1e-16 | 1.1e-16 | NA | NA | NA | NA | NA | NA |
| F-PSOLS-10 | 1.1e-16 | 1.1e-16 | 1.1e-16 | 1.1e-16 | 5.8e-07 | NA | NA | NA | NA | NA |
| G-PSOLS-20 | 1.1e-16 | 1.1e-16 | 1.1e-16 | 1.1e-16 | 1.6e-11 | 8.9e-04 | NA | NA | NA | NA |
| H-EPUSLS | 1.1e-16 | 1.1e-16 | 1.1e-16 | 1.1e-16 | 1.0e+00 | 1.0e+00 | 1.0e+00 | NA | NA | NA |
| I-RLS | 1.1e-16 | 1.1e-16 | 1.1e-16 | 1.1e-16 | 1.3e-10 | 1.6e-05 | 1.0e+00 | 9.2e-16 | NA | NA |
| J-ISL | 1.1e-16 | 1.1e-16 | 1.1e-16 | 1.1e-16 | 1.1e-16 | 1.1e-16 | 1.1e-16 | 1.1e-16 | 1.1e-16 | NA |
| Z-IPSO | 1.0e+00 | 1.0e+00 | 1.1e-16 | 1.0e+00 | 1.0e+00 | 1.0e+00 | 1.0e+00 | 1.0e+00 | 1.0e+00 | 1.0e+00 |
|
| Sphere function - 100 dimensions |
| Fully-connected topology |
| A-PSO-10 | B-PSO-100 | C-PSO-1000 | D-EPUS | E-PSOLS-5 | F-PSOLS-10 | G-PSOLS-20 | H-EPUSLS | I-RLS | J-ISL |
| B-PSO-100 | 1.1e-16 | NA | NA | NA | NA | NA | NA | NA | NA | NA |
| C-PSO-1000 | 1.6e-15 | 1.0e+00 | NA | NA | NA | NA | NA | NA | NA | NA |
| D-EPUS | 1.6e-14 | 5.6e-12 | 1.6e-14 | NA | NA | NA | NA | NA | NA | NA |
| E-PSOLS-5 | 1.1e-16 | 1.1e-16 | 1.1e-16 | 1.1e-16 | NA | NA | NA | NA | NA | NA |
| F-PSOLS-10 | 1.1e-16 | 1.1e-16 | 1.1e-16 | 1.1e-16 | 1.0e+00 | NA | NA | NA | NA | NA |
| G-PSOLS-20 | 1.1e-16 | 1.1e-16 | 1.1e-16 | 1.1e-16 | 1.0e+00 | 1.0e+00 | NA | NA | NA | NA |
| H-EPUSLS | 1.1e-16 | 1.1e-16 | 1.1e-16 | 1.1e-16 | 1.0e+00 | 1.0e+00 | 1.0e+00 | NA | NA | NA |
| I-RLS | 1.1e-16 | 1.1e-16 | 1.1e-16 | 1.1e-16 | 1.0e+00 | 1.0e+00 | 1.0e+00 | 1.1e-16 | NA | NA |
| J-ISL | 1.1e-16 | 1.1e-16 | 1.1e-16 | 1.1e-16 | 1.0e+00 | 1.0e+00 | 1.0e+00 | 1.1e-16 | 1.0e+00 | NA |
| Z-IPSO | 1.1e-16 | 4.8e-01 | 1.1e-16 | 1.0e+00 | 1.0e+00 | 1.0e+00 | 1.0e+00 | 1.0e+00 | 1.0e+00 | 1.0e+00 |
|
| Ring topology |
| A-PSO-10 | B-PSO-100 | C-PSO-1000 | D-EPUS | E-PSOLS-5 | F-PSOLS-10 | G-PSOLS-20 | H-EPUSLS | I-RLS | J-ISL |
| B-PSO-100 | 5.8e-05 | NA | NA | NA | NA | NA | NA | NA | NA | NA |
| C-PSO-1000 | 1.0e+00 | 1.0e+00 | NA | NA | NA | NA | NA | NA | NA | NA |
| D-EPUS | 3.0e-12 | 1.7e-14 | 1.1e-16 | NA | NA | NA | NA | NA | NA | NA |
| E-PSOLS-5 | 1.1e-16 | 1.1e-16 | 1.1e-16 | 1.1e-16 | NA | NA | NA | NA | NA | NA |
| F-PSOLS-10 | 1.1e-16 | 1.1e-16 | 1.1e-16 | 1.1e-16 | 1.0e+00 | NA | NA | NA | NA | NA |
| G-PSOLS-20 | 1.1e-16 | 1.1e-16 | 1.1e-16 | 1.1e-16 | 1.0e+00 | 1.0e+00 | NA | NA | NA | NA |
| H-EPUSLS | 1.1e-16 | 1.1e-16 | 1.1e-16 | 1.1e-16 | 1.0e+00 | 1.0e+00 | 1.0e+00 | NA | NA | NA |
| I-RLS | 1.1e-16 | 1.1e-16 | 1.1e-16 | 1.1e-16 | 1.0e+00 | 1.0e+00 | 1.0e+00 | 1.1e-16 | NA | NA |
| J-ISL | 1.1e-16 | 1.1e-16 | 1.1e-16 | 1.1e-16 | 1.0e+00 | 1.0e+00 | 1.0e+00 | 1.1e-16 | 1.0e+00 | NA |
| Z-IPSO | 1.0e+00 | 1.0e+00 | 1.1e-16 | 1.0e+00 | 1.0e+00 | 1.0e+00 | 1.0e+00 | 1.0e+00 | 1.0e+00 | 1.0e+00 |
|
| Step function - 100 dimensions |
| Fully-connected topology |
| A-PSO-10 | B-PSO-100 | C-PSO-1000 | D-EPUS | E-PSOLS-5 | F-PSOLS-10 | G-PSOLS-20 | H-EPUSLS | I-RLS | J-ISL |
| B-PSO-100 | 1.0e-16 | NA | NA | NA | NA | NA | NA | NA | NA | NA |
| C-PSO-1000 | 1.0e-16 | 2.5e-14 | NA | NA | NA | NA | NA | NA | NA | NA |
| D-EPUS | 1.0e+00 | 1.0e+00 | 1.0e+00 | NA | NA | NA | NA | NA | NA | NA |
| E-PSOLS-5 | 1.0e-16 | 1.0e-16 | 8.0e-15 | 1.0e-16 | NA | NA | NA | NA | NA | NA |
| F-PSOLS-10 | 1.0e-16 | 1.2e-07 | 1.0e+00 | 1.0e-16 | 1.0e+00 | NA | NA | NA | NA | NA |
| G-PSOLS-20 | 1.0e-16 | 1.2e-07 | 1.0e+00 | 1.0e-16 | 1.0e+00 | 1.0e+00 | NA | NA | NA | NA |
| H-EPUSLS | 1.0e-16 | 4.5e-05 | 1.0e+00 | 1.0e-16 | 1.0e+00 | 1.0e+00 | 1.0e+00 | NA | NA | NA |
| I-RLS | 1.0e-16 | 1.2e-07 | 1.0e+00 | 1.0e-16 | 1.0e+00 | 1.0e+00 | 1.0e+00 | 3.5e-11 | NA | NA |
| J-ISL | 1.0e-16 | 1.0e-16 | 1.0e-16 | 1.0e-16 | 1.0e-16 | 1.0e-16 | 1.0e-16 | 1.0e-16 | 1.0e-16 | NA |
| Z-IPSO | 1.0e-16 | 1.0e-16 | 1.6e-14 | 1.0e-16 | 2.3e-06 | 1.0e-16 | 1.0e-16 | 1.0e-16 | 1.0e-16 | 1.0e+00 |
|
| Ring topology |
| A-PSO-10 | B-PSO-100 | C-PSO-1000 | D-EPUS | E-PSOLS-5 | F-PSOLS-10 | G-PSOLS-20 | H-EPUSLS | I-RLS | J-ISL |
| B-PSO-100 | 9.2e-17 | NA | NA | NA | NA | NA | NA | NA | NA | NA |
| C-PSO-1000 | 9.2e-17 | 1.0e+00 | NA | NA | NA | NA | NA | NA | NA | NA |
| D-EPUS | 1.0e+00 | 1.0e+00 | 1.0e+00 | NA | NA | NA | NA | NA | NA | NA |
| E-PSOLS-5 | 9.2e-17 | 1.0e+00 | 1.0e+00 | 9.2e-17 | NA | NA | NA | NA | NA | NA |
| F-PSOLS-10 | 3.0e-16 | 1.0e+00 | 1.0e+00 | 9.2e-17 | 1.0e+00 | NA | NA | NA | NA | NA |
| G-PSOLS-20 | 3.0e-16 | 1.0e+00 | 1.0e+00 | 9.2e-17 | 1.0e+00 | 1.0e+00 | NA | NA | NA | NA |
| H-EPUSLS | 6.9e-16 | 1.0e+00 | 1.0e+00 | 9.2e-17 | 1.0e+00 | 1.0e+00 | 1.0e+00 | NA | NA | NA |
| I-RLS | 3.3e-16 | 1.0e+00 | 1.0e+00 | 9.2e-17 | 1.0e+00 | 1.0e+00 | 1.0e+00 | 4.1e-11 | NA | NA |
| J-ISL | 9.2e-17 | 1.0e+00 | 3.7e-02 | 9.2e-17 | 9.2e-17 | 9.2e-17 | 9.2e-17 | 9.2e-17 | 9.2e-17 | NA |
| Z-IPSO | 9.2e-17 | 1.0e+00 | 9.2e-17 | 9.2e-17 | 9.2e-17 | 9.1e-17 | 9.1e-17 | 9.2e-17 | 9.1e-17 | 9.2e-17 |
|
| Weierstrass function - 100 dimensions |
| Fully-connected topology |
| A-PSO-10 | B-PSO-100 | C-PSO-1000 | D-EPUS | E-PSOLS-5 | F-PSOLS-10 | G-PSOLS-20 | H-EPUSLS | I-RLS | J-ISL |
| B-PSO-100 | 1.1e-16 | NA | NA | NA | NA | NA | NA | NA | NA | NA |
| C-PSO-1000 | 8.4e-16 | 1.0e+00 | NA | NA | NA | NA | NA | NA | NA | NA |
| D-EPUS | 1.6e-11 | 1.0e+00 | 1.3e-01 | NA | NA | NA | NA | NA | NA | NA |
| E-PSOLS-5 | 1.1e-16 | 1.1e-16 | 1.1e-16 | 1.1e-16 | NA | NA | NA | NA | NA | NA |
| F-PSOLS-10 | 1.1e-16 | 1.1e-16 | 1.1e-16 | 1.1e-16 | 2.5e-01 | NA | NA | NA | NA | NA |
| G-PSOLS-20 | 1.1e-16 | 1.1e-16 | 1.1e-16 | 1.1e-16 | 2.5e-01 | 1.0e+00 | NA | NA | NA | NA |
| H-EPUSLS | 1.1e-16 | 1.1e-16 | 1.1e-16 | 1.1e-16 | 1.0e+00 | 1.0e+00 | 1.0e+00 | NA | NA | NA |
| I-RLS | 1.1e-16 | 1.1e-16 | 1.1e-16 | 1.1e-16 | 1.4e-03 | 1.0e+00 | 1.0e+00 | 1.6e-11 | NA | NA |
| J-ISL | 1.1e-16 | 1.1e-16 | 1.1e-16 | 1.1e-16 | 5.2e-02 | 1.0e+00 | 1.0e+00 | 6.0e-08 | 1.0e+00 | NA |
| Z-IPSO | 1.1e-16 | 1.1e-01 | 1.1e-16 | 1.1e-16 | 1.0e+00 | 1.0e+00 | 1.0e+00 | 1.0e+00 | 1.0e+00 | 1.0e+00 |
|
| Ring topology |
| A-PSO-10 | B-PSO-100 | C-PSO-1000 | D-EPUS | E-PSOLS-5 | F-PSOLS-10 | G-PSOLS-20 | H-EPUSLS | I-RLS | J-ISL |
| B-PSO-100 | 1.7e-11 | NA | NA | NA | NA | NA | NA | NA | NA | NA |
| C-PSO-1000 | 1.0e+00 | 1.0e+00 | NA | NA | NA | NA | NA | NA | NA | NA |
| D-EPUS | 1.1e-16 | 1.1e-16 | 1.1e-16 | NA | NA | NA | NA | NA | NA | NA |
| E-PSOLS-5 | 1.1e-16 | 1.1e-16 | 1.1e-16 | 1.1e-16 | NA | NA | NA | NA | NA | NA |
| F-PSOLS-10 | 1.1e-16 | 1.1e-16 | 1.1e-16 | 1.1e-16 | 2.4e-01 | NA | NA | NA | NA | NA |
| G-PSOLS-20 | 1.1e-16 | 1.1e-16 | 1.1e-16 | 1.1e-16 | 2.4e-01 | 1.0e+00 | NA | NA | NA | NA |
| H-EPUSLS | 1.1e-16 | 1.1e-16 | 1.1e-16 | 1.1e-16 | 1.0e+00 | 1.0e+00 | 1.0e+00 | NA | NA | NA |
| I-RLS | 1.1e-16 | 1.1e-16 | 1.1e-16 | 1.1e-16 | 1.5e-03 | 1.0e+00 | 1.0e+00 | 1.7e-11 | NA | NA |
| J-ISL | 1.1e-16 | 1.1e-16 | 1.1e-16 | 1.1e-16 | 1.0e+00 | 1.0e+00 | 1.0e+00 | 1.0e+00 | 1.0e+00 | NA |
| Z-IPSO | 9.6e-11 | 1.0e+00 | 1.1e-16 | 1.0e+00 | 1.0e+00 | 1.0e+00 | 1.0e+00 | 1.0e+00 | 1.0e+00 | 1.0e+00 |
|
Differences after 1,000,000 function evaluations
| Ackley function - 100 dimensions |
| Fully-connected topology |
| A-PSO-10 | B-PSO-100 | C-PSO-1000 | D-EPUS | E-PSOLS-5 | F-PSOLS-10 | G-PSOLS-20 | H-EPUSLS | I-RLS | J-ISL |
| B-PSO-100 | 4.8e-16 | NA | NA | NA | NA | NA | NA | NA | NA | NA |
| C-PSO-1000 | 1.5e-16 | 2.3e-11 | NA | NA | NA | NA | NA | NA | NA | NA |
| D-EPUS | 1.8e-01 | 1.0e+00 | 1.0e+00 | NA | NA | NA | NA | NA | NA | NA |
| E-PSOLS-5 | 3.3e-01 | 1.0e+00 | 1.0e+00 | 1.0e+00 | NA | NA | NA | NA | NA | NA |
| F-PSOLS-10 | 1.3e-06 | 1.0e+00 | 1.0e+00 | 2.6e-02 | 3.4e-11 | NA | NA | NA | NA | NA |
| G-PSOLS-20 | 3.8e-12 | 1.0e+00 | 1.0e+00 | 1.4e-11 | 2.2e-15 | 3.7e-12 | NA | NA | NA | NA |
| H-EPUSLS | 2.9e-14 | 2.6e-06 | 4.7e-01 | 1.9e-13 | 5.3e-11 | 1.5e-06 | 3.3e-01 | NA | NA | NA |
| I-RLS | 1.1e-16 | 1.1e-16 | 7.2e-16 | 1.1e-16 | 9.2e-16 | 2.2e-12 | 8.2e-05 | 1.0e+00 | NA | NA |
| J-ISL | 1.1e-16 | 1.1e-16 | 1.1e-16 | 1.1e-16 | 1.5e-16 | 4.2e-15 | 3.8e-09 | 1.1e-03 | 2.8e-16 | NA |
| Z-IPSO | 1.2e-15 | 1.0e+00 | 1.0e+00 | 1.3e-15 | 4.5e-12 | 3.7e-06 | 1.0e+00 | 1.0e+00 | 1.0e+00 | 1.0e+00 |
|
| Ring topology |
| A-PSO-10 | B-PSO-100 | C-PSO-1000 | D-EPUS | E-PSOLS-5 | F-PSOLS-10 | G-PSOLS-20 | H-EPUSLS | I-RLS | J-ISL |
| B-PSO-100 | 1.1e-16 | NA | NA | NA | NA | NA | NA | NA | NA | NA |
| C-PSO-1000 | 1.1e-16 | 1.0e+00 | NA | NA | NA | NA | NA | NA | NA | NA |
| D-EPUS | 1.0e+00 | 1.0e+00 | 1.0e+00 | NA | NA | NA | NA | NA | NA | NA |
| E-PSOLS-5 | 1.0e+00 | 1.0e+00 | 1.0e+00 | 1.0e+00 | NA | NA | NA | NA | NA | NA |
| F-PSOLS-10 | 1.0e+00 | 1.0e+00 | 1.0e+00 | 1.0e+00 | 1.5e-10 | NA | NA | NA | NA | NA |
| G-PSOLS-20 | 2.7e-05 | 1.0e+00 | 1.0e+00 | 3.1e-03 | 1.2e-14 | 1.0e-10 | NA | NA | NA | NA |
| H-EPUSLS | 2.8e-12 | 1.0e+00 | 1.0e+00 | 1.3e-06 | 1.0e-10 | 8.7e-07 | 2.5e-02 | NA | NA | NA |
| I-RLS | 1.1e-16 | 1.5e-13 | 1.1e-16 | 1.1e-16 | 6.5e-16 | 4.3e-14 | 1.0e-10 | 1.0e+00 | NA | NA |
| J-ISL | 1.1e-16 | 1.2e-15 | 1.1e-16 | 1.1e-16 | 1.1e-16 | 2.8e-16 | 1.8e-15 | 1.2e-07 | 3.7e-16 | NA |
| Z-IPSO | 1.1e-16 | 1.0e+00 | 1.1e-16 | 1.0e-10 | 2.7e-15 | 1.1e-11 | 2.1e-04 | 1.0e+00 | 1.0e+00 | 1.0e+00 |
|
| Griewank function - 100 dimensions |
| Fully-connected topology |
| A-PSO-10 | B-PSO-100 | C-PSO-1000 | D-EPUS | E-PSOLS-5 | F-PSOLS-10 | G-PSOLS-20 | H-EPUSLS | I-RLS | J-ISL |
| B-PSO-100 | 1.1e-16 | NA | NA | NA | NA | NA | NA | NA | NA | NA |
| C-PSO-1000 | 1.1e-16 | 3.7e-06 | NA | NA | NA | NA | NA | NA | NA | NA |
| D-EPUS | 9.4e-08 | 4.1e-05 | 1.0e+00 | NA | NA | NA | NA | NA | NA | NA |
| E-PSOLS-5 | 1.1e-16 | 2.0e-16 | 3.4e-15 | 5.4e-16 | NA | NA | NA | NA | NA | NA |
| F-PSOLS-10 | 1.1e-16 | 1.1e-16 | 1.1e-16 | 2.0e-16 | 1.0e+00 | NA | NA | NA | NA | NA |
| G-PSOLS-20 | 1.1e-16 | 1.1e-16 | 1.1e-16 | 1.1e-16 | 1.0e+00 | 1.0e+00 | NA | NA | NA | NA |
| H-EPUSLS | 1.1e-16 | 2.0e-10 | 1.0e+00 | 1.0e+00 | 1.0e+00 | 1.0e+00 | 1.0e+00 | NA | NA | NA |
| I-RLS | 1.1e-16 | 1.1e-16 | 1.1e-16 | 1.1e-16 | 1.0e+00 | 1.0e+00 | 1.0e+00 | 1.1e-16 | NA | NA |
| J-ISL | 1.1e-16 | 1.1e-16 | 1.1e-16 | 1.1e-16 | 1.0e+00 | 1.0e+00 | 1.0e+00 | 1.1e-16 | 1.0e+00 | NA |
| Z-IPSO | 1.1e-16 | 7.5e-13 | 2.8e-04 | 1.2e-02 | 1.0e+00 | 1.0e+00 | 1.0e+00 | 1.0e+00 | 1.0e+00 | 1.0e+00 |
|
| Ring topology |
| A-PSO-10 | B-PSO-100 | C-PSO-1000 | D-EPUS | E-PSOLS-5 | F-PSOLS-10 | G-PSOLS-20 | H-EPUSLS | I-RLS | J-ISL |
| B-PSO-100 | 9.9e-17 | NA | NA | NA | NA | NA | NA | NA | NA | NA |
| C-PSO-1000 | 9.0e-05 | 1.0e+00 | NA | NA | NA | NA | NA | NA | NA | NA |
| D-EPUS | 1.1e-16 | 1.0e+00 | 9.9e-17 | NA | NA | NA | NA | NA | NA | NA |
| E-PSOLS-5 | 9.9e-17 | 8.6e-17 | 9.9e-17 | 2.2e-13 | NA | NA | NA | NA | NA | NA |
| F-PSOLS-10 | 9.9e-17 | 3.2e-20 | 9.9e-17 | 1.0e-15 | 1.0e+00 | NA | NA | NA | NA | NA |
| G-PSOLS-20 | 9.9e-17 | 4.3e-22 | 9.9e-17 | 9.9e-17 | 1.0e+00 | 1.0e+00 | NA | NA | NA | NA |
| H-EPUSLS | 1.2e-16 | 1.0e+00 | 9.9e-17 | 1.0e+00 | 1.0e+00 | 1.0e+00 | 1.0e+00 | NA | NA | NA |
| I-RLS | 9.9e-17 | 4.3e-22 | 9.9e-17 | 9.9e-17 | 1.0e+00 | 1.0e+00 | 1.0e+00 | 9.9e-17 | NA | NA |
| J-ISL | 9.9e-17 | 4.3e-22 | 9.9e-17 | 9.9e-17 | 1.0e+00 | 1.0e+00 | 1.0e+00 | 9.9e-17 | 1.0e+00 | NA |
| Z-IPSO | 1.0e-12 | 1.0e+00 | 9.9e-17 | 1.0e+00 | 1.0e+00 | 1.0e+00 | 1.0e+00 | 1.0e+00 | 1.0e+00 | 1.0e+00 |
|
| Rastrigin function - 100 dimensions |
| Fully-connected topology |
| A-PSO-10 | B-PSO-100 | C-PSO-1000 | D-EPUS | E-PSOLS-5 | F-PSOLS-10 | G-PSOLS-20 | H-EPUSLS | I-RLS | J-ISL |
| B-PSO-100 | 1.1e-16 | NA | NA | NA | NA | NA | NA | NA | NA | NA |
| C-PSO-1000 | 1.1e-16 | 4.6e-15 | NA | NA | NA | NA | NA | NA | NA | NA |
| D-EPUS | 2.5e-10 | 1.0e+00 | 1.0e+00 | NA | NA | NA | NA | NA | NA | NA |
| E-PSOLS-5 | 1.1e-16 | 1.1e-16 | 3.6e-01 | 1.1e-16 | NA | NA | NA | NA | NA | NA |
| F-PSOLS-10 | 1.1e-16 | 1.1e-16 | 3.9e-04 | 1.1e-16 | 4.8e-09 | NA | NA | NA | NA | NA |
| G-PSOLS-20 | 1.1e-16 | 1.1e-16 | 1.4e-07 | 1.1e-16 | 3.6e-12 | 3.1e-08 | NA | NA | NA | NA |
| H-EPUSLS | 1.1e-16 | 1.1e-16 | 1.0e+00 | 1.1e-16 | 1.0e+00 | 1.0e+00 | 1.0e+00 | NA | NA | NA |
| I-RLS | 1.1e-16 | 1.1e-16 | 7.6e-16 | 1.1e-16 | 1.1e-16 | 2.2e-16 | 3.2e-15 | 1.1e-16 | NA | NA |
| J-ISL | 1.1e-16 | 1.1e-16 | 1.1e-16 | 1.1e-16 | 1.1e-16 | 1.1e-16 | 1.1e-16 | 1.1e-16 | 1.1e-16 | NA |
| Z-IPSO | 1.1e-16 | 1.1e-16 | 5.9e-03 | 1.1e-16 | 8.1e-01 | 1.0e+00 | 1.0e+00 | 2.7e-03 | 1.0e+00 | 1.0e+00 |
|
| Ring topology |
| A-PSO-10 | B-PSO-100 | C-PSO-1000 | D-EPUS | E-PSOLS-5 | F-PSOLS-10 | G-PSOLS-20 | H-EPUSLS | I-RLS | J-ISL |
| B-PSO-100 | 1.1e-16 | NA | NA | NA | NA | NA | NA | NA | NA | NA |
| C-PSO-1000 | 1.1e-16 | 1.0e+00 | NA | NA | NA | NA | NA | NA | NA | NA |
| D-EPUS | 1.2e-16 | 8.6e-01 | 1.8e-03 | NA | NA | NA | NA | NA | NA | NA |
| E-PSOLS-5 | 1.1e-16 | 1.1e-16 | 1.1e-16 | 1.3e-16 | NA | NA | NA | NA | NA | NA |
| F-PSOLS-10 | 1.1e-16 | 1.1e-16 | 1.1e-16 | 1.1e-16 | 3.1e-09 | NA | NA | NA | NA | NA |
| G-PSOLS-20 | 1.1e-16 | 1.1e-16 | 1.1e-16 | 1.1e-16 | 2.2e-12 | 2.7e-08 | NA | NA | NA | NA |
| H-EPUSLS | 1.1e-16 | 1.1e-16 | 1.1e-16 | 3.6e-16 | 1.0e+00 | 1.0e+00 | 1.0e+00 | NA | NA | NA |
| I-RLS | 1.1e-16 | 1.1e-16 | 1.1e-16 | 1.1e-16 | 1.1e-16 | 1.9e-16 | 2.8e-15 | 1.1e-16 | NA | NA |
| J-ISL | 1.1e-16 | 1.1e-16 | 1.1e-16 | 1.1e-16 | 1.1e-16 | 1.1e-16 | 1.1e-16 | 1.1e-16 | 1.1e-16 | NA |
| Z-IPSO | 1.1e-16 | 7.0e-02 | 1.2e-08 | 8.6e-01 | 1.0e+00 | 1.0e+00 | 1.0e+00 | 1.0e+00 | 1.0e+00 | 1.0e+00 |
|
| Rosenbrock function - 100 dimensions |
| Fully-connected topology |
| A-PSO-10 | B-PSO-100 | C-PSO-1000 | D-EPUS | E-PSOLS-5 | F-PSOLS-10 | G-PSOLS-20 | H-EPUSLS | I-RLS | J-ISL |
| B-PSO-100 | 1.1e-16 | NA | NA | NA | NA | NA | NA | NA | NA | NA |
| C-PSO-1000 | 1.1e-16 | 1.0e+00 | NA | NA | NA | NA | NA | NA | NA | NA |
| D-EPUS | 1.1e-16 | 1.5e-08 | 2.2e-09 | NA | NA | NA | NA | NA | NA | NA |
| E-PSOLS-5 | 1.1e-16 | 1.1e-16 | 1.1e-16 | 1.4e-08 | NA | NA | NA | NA | NA | NA |
| F-PSOLS-10 | 1.1e-16 | 1.1e-16 | 1.1e-16 | 7.6e-12 | 1.1e-07 | NA | NA | NA | NA | NA |
| G-PSOLS-20 | 1.1e-16 | 1.1e-16 | 1.1e-16 | 4.0e-16 | 2.9e-10 | 1.1e-05 | NA | NA | NA | NA |
| H-EPUSLS | 1.1e-16 | 1.1e-16 | 1.1e-16 | 1.4e-16 | 1.1e-11 | 5.4e-09 | 9.7e-08 | NA | NA | NA |
| I-RLS | 1.1e-16 | 1.1e-16 | 1.1e-16 | 2.2e-05 | 1.0e+00 | 1.0e+00 | 1.0e+00 | 1.0e+00 | NA | NA |
| J-ISL | 1.1e-16 | 1.1e-16 | 1.1e-16 | 1.1e-16 | 8.1e-12 | 5.5e-07 | 1.5e-02 | 1.0e+00 | 1.1e-16 | NA |
| Z-IPSO | 1.1e-16 | 1.0e+00 | 8.6e-02 | 1.0e+00 | 1.0e+00 | 1.0e+00 | 1.0e+00 | 1.0e+00 | 1.0e+00 | 1.0e+00 |
|
| Ring topology |
| A-PSO-10 | B-PSO-100 | C-PSO-1000 | D-EPUS | E-PSOLS-5 | F-PSOLS-10 | G-PSOLS-20 | H-EPUSLS | I-RLS | J-ISL |
| B-PSO-100 | 2.9e-14 | NA | NA | NA | NA | NA | NA | NA | NA | NA |
| C-PSO-1000 | 8.8e-03 | 1.0e+00 | NA | NA | NA | NA | NA | NA | NA | NA |
| D-EPUS | 4.7e-14 | 1.0e+00 | 1.1e-16 | NA | NA | NA | NA | NA | NA | NA |
| E-PSOLS-5 | 1.1e-16 | 1.1e-16 | 1.1e-16 | 1.1e-16 | NA | NA | NA | NA | NA | NA |
| F-PSOLS-10 | 1.1e-16 | 1.1e-16 | 1.1e-16 | 1.1e-16 | 6.0e-08 | NA | NA | NA | NA | NA |
| G-PSOLS-20 | 1.1e-16 | 1.1e-16 | 1.1e-16 | 1.1e-16 | 3.6e-10 | 1.8e-06 | NA | NA | NA | NA |
| H-EPUSLS | 1.1e-16 | 1.1e-16 | 1.1e-16 | 1.1e-16 | 2.1e-11 | 3.0e-08 | 3.5e-05 | NA | NA | NA |
| I-RLS | 1.1e-16 | 1.1e-16 | 1.1e-16 | 1.1e-16 | 1.0e+00 | 1.0e+00 | 1.0e+00 | 1.0e+00 | NA | NA |
| J-ISL | 1.1e-16 | 1.1e-16 | 1.1e-16 | 1.1e-16 | 1.9e-12 | 1.9e-07 | 1.9e-02 | 1.0e+00 | 1.1e-16 | NA |
| Z-IPSO | 9.2e-07 | 1.0e+00 | 1.1e-16 | 1.0e+00 | 1.0e+00 | 1.0e+00 | 1.0e+00 | 1.0e+00 | 1.0e+00 | 1.0e+00 |
|
| Salomon function - 100 dimensions |
| Fully-connected topology |
| A-PSO-10 | B-PSO-100 | C-PSO-1000 | D-EPUS | E-PSOLS-5 | F-PSOLS-10 | G-PSOLS-20 | H-EPUSLS | I-RLS | J-ISL |
| B-PSO-100 | 1.1e-16 | NA | NA | NA | NA | NA | NA | NA | NA | NA |
| C-PSO-1000 | 1.1e-16 | 7.6e-14 | NA | NA | NA | NA | NA | NA | NA | NA |
| D-EPUS | 1.1e-14 | 3.1e-04 | 1.0e+00 | NA | NA | NA | NA | NA | NA | NA |
| E-PSOLS-5 | 1.1e-16 | 1.0e+00 | 1.0e+00 | 1.0e+00 | NA | NA | NA | NA | NA | NA |
| F-PSOLS-10 | 1.1e-16 | 4.3e-07 | 1.0e+00 | 1.0e+00 | 4.3e-16 | NA | NA | NA | NA | NA |
| G-PSOLS-20 | 1.1e-16 | 1.0e+00 | 1.0e+00 | 1.0e+00 | 1.0e+00 | 1.0e+00 | NA | NA | NA | NA |
| H-EPUSLS | 1.1e-16 | 1.7e-02 | 1.0e+00 | 1.0e+00 | 5.0e-05 | 1.0e+00 | 1.3e-15 | NA | NA | NA |
| I-RLS | 2.2e-16 | 1.0e+00 | 1.0e+00 | 1.0e+00 | 1.0e+00 | 1.0e+00 | 1.0e+00 | 1.0e+00 | NA | NA |
| J-ISL | 1.1e-16 | 1.0e+00 | 1.0e+00 | 1.0e+00 | 1.0e+00 | 1.0e+00 | 1.0e+00 | 1.0e+00 | 1.1e-16 | NA |
| Z-IPSO | 1.1e-16 | 1.1e-16 | 1.0e-10 | 1.5e-08 | 1.1e-16 | 1.1e-16 | 1.1e-16 | 1.1e-16 | 1.1e-16 | 1.1e-16 |
|
| Ring topology |
| A-PSO-10 | B-PSO-100 | C-PSO-1000 | D-EPUS | E-PSOLS-5 | F-PSOLS-10 | G-PSOLS-20 | H-EPUSLS | I-RLS | J-ISL |
| B-PSO-100 | 1.1e-16 | NA | NA | NA | NA | NA | NA | NA | NA | NA |
| C-PSO-1000 | 7.3e-15 | 1.0e+00 | NA | NA | NA | NA | NA | NA | NA | NA |
| D-EPUS | 1.1e-16 | 1.0e+00 | 1.1e-16 | NA | NA | NA | NA | NA | NA | NA |
| E-PSOLS-5 | 1.2e-16 | 1.0e+00 | 1.1e-16 | 1.0e+00 | NA | NA | NA | NA | NA | NA |
| F-PSOLS-10 | 1.1e-16 | 1.0e+00 | 1.1e-16 | 1.0e+00 | 8.0e-10 | NA | NA | NA | NA | NA |
| G-PSOLS-20 | 1.7e-16 | 1.0e+00 | 1.1e-16 | 1.0e+00 | 1.0e+00 | 1.0e+00 | NA | NA | NA | NA |
| H-EPUSLS | 1.2e-16 | 1.0e+00 | 1.1e-16 | 1.0e+00 | 1.0e+00 | 1.0e+00 | 8.3e-13 | NA | NA | NA |
| I-RLS | 1.0e+00 | 1.0e+00 | 1.0e+00 | 1.0e+00 | 1.0e+00 | 1.0e+00 | 1.0e+00 | 1.0e+00 | NA | NA |
| J-ISL | 7.0e-16 | 1.0e+00 | 2.9e-14 | 1.0e+00 | 1.0e+00 | 1.0e+00 | 1.0e+00 | 1.0e+00 | 1.1e-16 | NA |
| Z-IPSO | 1.1e-16 | 1.0e+00 | 1.1e-16 | 1.0e+00 | 1.0e+00 | 1.0e+00 | 1.1e-16 | 1.0e+00 | 1.1e-16 | 1.1e-16 |
|
| Schaffer function - 100 dimensions |
| Fully-connected topology |
| A-PSO-10 | B-PSO-100 | C-PSO-1000 | D-EPUS | E-PSOLS-5 | F-PSOLS-10 | G-PSOLS-20 | H-EPUSLS | I-RLS | J-ISL |
| B-PSO-100 | 1.4e-16 | NA | NA | NA | NA | NA | NA | NA | NA | NA |
| C-PSO-1000 | 9.9e-09 | 1.0e+00 | NA | NA | NA | NA | NA | NA | NA | NA |
| D-EPUS | 6.6e-05 | 1.0e+00 | 1.0e+00 | NA | NA | NA | NA | NA | NA | NA |
| E-PSOLS-5 | 1.1e-16 | 1.1e-16 | 1.1e-16 | 1.1e-16 | NA | NA | NA | NA | NA | NA |
| F-PSOLS-10 | 1.1e-16 | 1.1e-16 | 1.1e-16 | 1.1e-16 | 2.4e-04 | NA | NA | NA | NA | NA |
| G-PSOLS-20 | 1.1e-16 | 1.1e-16 | 1.1e-16 | 1.1e-16 | 3.0e-05 | 1.0e+00 | NA | NA | NA | NA |
| H-EPUSLS | 1.1e-16 | 1.1e-16 | 1.1e-16 | 1.1e-16 | 3.4e-05 | 1.0e+00 | 1.0e+00 | NA | NA | NA |
| I-RLS | 1.1e-16 | 1.1e-16 | 1.1e-16 | 1.1e-16 | 1.0e+00 | 1.0e+00 | 1.0e+00 | 1.0e+00 | NA | NA |
| J-ISL | 1.1e-16 | 1.1e-16 | 1.1e-16 | 1.1e-16 | 1.2e-08 | 1.3e-03 | 1.2e-02 | 2.3e-03 | 1.1e-16 | NA |
| Z-IPSO | 3.1e-08 | 1.0e+00 | 1.0e+00 | 1.0e+00 | 1.0e+00 | 1.0e+00 | 1.0e+00 | 1.0e+00 | 1.0e+00 | 1.0e+00 |
|
| Ring topology |
| A-PSO-10 | B-PSO-100 | C-PSO-1000 | D-EPUS | E-PSOLS-5 | F-PSOLS-10 | G-PSOLS-20 | H-EPUSLS | I-RLS | J-ISL |
| B-PSO-100 | 1.0e+00 | NA | NA | NA | NA | NA | NA | NA | NA | NA |
| C-PSO-1000 | 1.0e+00 | 1.0e+00 | NA | NA | NA | NA | NA | NA | NA | NA |
| D-EPUS | 1.0e+00 | 1.0e+00 | 5.2e-07 | NA | NA | NA | NA | NA | NA | NA |
| E-PSOLS-5 | 1.1e-16 | 1.1e-16 | 1.1e-16 | 1.1e-16 | NA | NA | NA | NA | NA | NA |
| F-PSOLS-10 | 1.1e-16 | 1.1e-16 | 1.1e-16 | 1.1e-16 | 5.6e-08 | NA | NA | NA | NA | NA |
| G-PSOLS-20 | 1.1e-16 | 1.1e-16 | 1.1e-16 | 1.1e-16 | 4.4e-06 | 1.0e+00 | NA | NA | NA | NA |
| H-EPUSLS | 1.1e-16 | 1.1e-16 | 1.1e-16 | 1.1e-16 | 6.2e-07 | 1.0e+00 | 1.0e+00 | NA | NA | NA |
| I-RLS | 1.1e-16 | 1.1e-16 | 1.1e-16 | 1.1e-16 | 1.0e+00 | 1.0e+00 | 1.0e+00 | 1.0e+00 | NA | NA |
| J-ISL | 1.1e-16 | 1.1e-16 | 1.1e-16 | 1.1e-16 | 2.9e-07 | 1.0e+00 | 1.0e+00 | 1.0e+00 | 1.1e-16 | NA |
| Z-IPSO | 1.0e+00 | 1.0e+00 | 1.3e-08 | 1.0e+00 | 1.0e+00 | 1.0e+00 | 1.0e+00 | 1.0e+00 | 1.0e+00 | 1.0e+00 |
|
| Schwefel function - 100 dimensions |
| Fully-connected topology |
| A-PSO-10 | B-PSO-100 | C-PSO-1000 | D-EPUS | E-PSOLS-5 | F-PSOLS-10 | G-PSOLS-20 | H-EPUSLS | I-RLS | J-ISL |
| B-PSO-100 | 1.1e-16 | NA | NA | NA | NA | NA | NA | NA | NA | NA |
| C-PSO-1000 | 1.1e-16 | 1.9e-16 | NA | NA | NA | NA | NA | NA | NA | NA |
| D-EPUS | 1.3e-04 | 1.0e+00 | 1.0e+00 | NA | NA | NA | NA | NA | NA | NA |
| E-PSOLS-5 | 1.1e-16 | 1.1e-16 | 1.1e-16 | 1.1e-16 | NA | NA | NA | NA | NA | NA |
| F-PSOLS-10 | 1.1e-16 | 1.1e-16 | 1.1e-16 | 1.1e-16 | 7.3e-08 | NA | NA | NA | NA | NA |
| G-PSOLS-20 | 1.1e-16 | 1.1e-16 | 1.1e-16 | 1.1e-16 | 1.1e-14 | 3.7e-11 | NA | NA | NA | NA |
| H-EPUSLS | 1.1e-16 | 1.1e-16 | 1.1e-16 | 1.1e-16 | 1.0e+00 | 1.0e+00 | 1.0e+00 | NA | NA | NA |
| I-RLS | 1.1e-16 | 1.1e-16 | 1.1e-16 | 1.1e-16 | 1.1e-16 | 1.3e-16 | 2.6e-15 | 1.1e-16 | NA | NA |
| J-ISL | 1.1e-16 | 1.1e-16 | 1.1e-16 | 1.1e-16 | 1.1e-16 | 1.1e-16 | 1.1e-16 | 1.1e-16 | 1.1e-16 | NA |
| Z-IPSO | 1.1e-16 | 1.7e-16 | 1.0e+00 | 1.1e-16 | 1.0e+00 | 1.0e+00 | 1.0e+00 | 1.0e+00 | 1.0e+00 | 1.0e+00 |
|
| Ring topology |
| A-PSO-10 | B-PSO-100 | C-PSO-1000 | D-EPUS | E-PSOLS-5 | F-PSOLS-10 | G-PSOLS-20 | H-EPUSLS | I-RLS | J-ISL |
| B-PSO-100 | 6.0e-15 | NA | NA | NA | NA | NA | NA | NA | NA | NA |
| C-PSO-1000 | 8.3e-15 | 1.0e+00 | NA | NA | NA | NA | NA | NA | NA | NA |
| D-EPUS | 1.7e-15 | 1.0e-14 | 6.8e-15 | NA | NA | NA | NA | NA | NA | NA |
| E-PSOLS-5 | 1.1e-16 | 1.1e-16 | 1.1e-16 | 1.1e-16 | NA | NA | NA | NA | NA | NA |
| F-PSOLS-10 | 1.1e-16 | 1.1e-16 | 1.1e-16 | 1.1e-16 | 1.5e-08 | NA | NA | NA | NA | NA |
| G-PSOLS-20 | 1.1e-16 | 1.1e-16 | 1.1e-16 | 1.1e-16 | 2.6e-14 | 5.1e-11 | NA | NA | NA | NA |
| H-EPUSLS | 1.1e-16 | 1.1e-16 | 1.1e-16 | 1.1e-16 | 1.0e+00 | 1.0e+00 | 1.0e+00 | NA | NA | NA |
| I-RLS | 1.1e-16 | 1.1e-16 | 1.1e-16 | 1.1e-16 | 1.1e-16 | 1.5e-16 | 3.2e-15 | 1.1e-16 | NA | NA |
| J-ISL | 1.1e-16 | 1.1e-16 | 1.1e-16 | 1.1e-16 | 1.1e-16 | 1.1e-16 | 1.1e-16 | 1.1e-16 | 1.1e-16 | NA |
| Z-IPSO | 1.7e-16 | 4.2e-06 | 8.6e-09 | 1.0e+00 | 1.0e+00 | 1.0e+00 | 1.0e+00 | 1.0e+00 | 1.0e+00 | 1.0e+00 |
|
| Sphere function - 100 dimensions |
| Fully-connected topology |
| A-PSO-10 | B-PSO-100 | C-PSO-1000 | D-EPUS | E-PSOLS-5 | F-PSOLS-10 | G-PSOLS-20 | H-EPUSLS | I-RLS | J-ISL |
| B-PSO-100 | 9.9e-17 | NA | NA | NA | NA | NA | NA | NA | NA | NA |
| C-PSO-1000 | 9.9e-17 | 1.0e+00 | NA | NA | NA | NA | NA | NA | NA | NA |
| D-EPUS | 1.6e-14 | 9.6e-10 | 1.6e-08 | NA | NA | NA | NA | NA | NA | NA |
| E-PSOLS-5 | 9.9e-17 | 6.9e-18 | 9.9e-17 | 9.9e-17 | NA | NA | NA | NA | NA | NA |
| F-PSOLS-10 | 9.9e-17 | 6.9e-18 | 9.9e-17 | 9.9e-17 | 1.0e+00 | NA | NA | NA | NA | NA |
| G-PSOLS-20 | 9.9e-17 | 6.9e-18 | 9.9e-17 | 9.9e-17 | 1.0e+00 | 1.0e+00 | NA | NA | NA | NA |
| H-EPUSLS | 9.9e-17 | 9.9e-17 | 9.9e-17 | 9.9e-17 | 1.0e+00 | 1.0e+00 | 1.0e+00 | NA | NA | NA |
| I-RLS | 9.9e-17 | 6.9e-18 | 9.9e-17 | 9.9e-17 | 1.0e+00 | 1.0e+00 | 1.0e+00 | 9.9e-17 | NA | NA |
| J-ISL | 9.9e-17 | 6.9e-18 | 9.9e-17 | 9.9e-17 | 1.0e+00 | 1.0e+00 | 1.0e+00 | 9.9e-17 | 1.0e+00 | NA |
| Z-IPSO | 9.9e-17 | 1.0e+00 | 9.9e-17 | 1.0e+00 | 1.0e+00 | 1.0e+00 | 1.0e+00 | 1.0e+00 | 1.0e+00 | 1.0e+00 |
|
| Ring topology |
| A-PSO-10 | B-PSO-100 | C-PSO-1000 | D-EPUS | E-PSOLS-5 | F-PSOLS-10 | G-PSOLS-20 | H-EPUSLS | I-RLS | J-ISL |
| B-PSO-100 | 1.1e-14 | NA | NA | NA | NA | NA | NA | NA | NA | NA |
| C-PSO-1000 | 1.4e-04 | 1.0e+00 | NA | NA | NA | NA | NA | NA | NA | NA |
| D-EPUS | 1.1e-16 | 3.9e-04 | 9.6e-17 | NA | NA | NA | NA | NA | NA | NA |
| E-PSOLS-5 | 9.6e-17 | 4.3e-22 | 9.6e-17 | 9.6e-17 | NA | NA | NA | NA | NA | NA |
| F-PSOLS-10 | 9.6e-17 | 4.3e-22 | 9.6e-17 | 9.6e-17 | 1.0e+00 | NA | NA | NA | NA | NA |
| G-PSOLS-20 | 9.6e-17 | 4.3e-22 | 9.6e-17 | 9.6e-17 | 1.0e+00 | 1.0e+00 | NA | NA | NA | NA |
| H-EPUSLS | 9.6e-17 | 9.6e-17 | 9.6e-17 | 9.6e-17 | 1.0e+00 | 1.0e+00 | 1.0e+00 | NA | NA | NA |
| I-RLS | 9.6e-17 | 4.3e-22 | 9.6e-17 | 9.6e-17 | 1.0e+00 | 1.0e+00 | 1.0e+00 | 9.6e-17 | NA | NA |
| J-ISL | 9.6e-17 | 4.3e-22 | 9.6e-17 | 9.6e-17 | 1.0e+00 | 1.0e+00 | 1.0e+00 | 9.6e-17 | 1.0e+00 | NA |
| Z-IPSO | 1.3e-12 | 1.0e+00 | 9.6e-17 | 1.0e+00 | 1.0e+00 | 1.0e+00 | 1.0e+00 | 1.0e+00 | 1.0e+00 | 1.0e+00 |
|
| Step function - 100 dimensions |
| Fully-connected topology |
| A-PSO-10 | B-PSO-100 | C-PSO-1000 | D-EPUS | E-PSOLS-5 | F-PSOLS-10 | G-PSOLS-20 | H-EPUSLS | I-RLS | J-ISL |
| B-PSO-100 | 8.8e-17 | NA | NA | NA | NA | NA | NA | NA | NA | NA |
| C-PSO-1000 | 8.8e-17 | 2.5e-14 | NA | NA | NA | NA | NA | NA | NA | NA |
| D-EPUS | 1.0e+00 | 1.0e+00 | 1.0e+00 | NA | NA | NA | NA | NA | NA | NA |
| E-PSOLS-5 | 8.8e-17 | 8.8e-17 | 8.6e-17 | 8.8e-17 | NA | NA | NA | NA | NA | NA |
| F-PSOLS-10 | 8.8e-17 | 8.8e-17 | 8.6e-17 | 8.8e-17 | 1.0e+00 | NA | NA | NA | NA | NA |
| G-PSOLS-20 | 8.8e-17 | 8.8e-17 | 8.8e-17 | 8.8e-17 | 1.0e+00 | 1.0e+00 | NA | NA | NA | NA |
| H-EPUSLS | 8.8e-17 | 2.8e-12 | 1.0e+00 | 8.8e-17 | 1.0e+00 | 1.0e+00 | 1.0e+00 | NA | NA | NA |
| I-RLS | 8.8e-17 | 5.3e-11 | 1.0e+00 | 8.8e-17 | 1.0e+00 | 1.0e+00 | 1.0e+00 | 1.0e+00 | NA | NA |
| J-ISL | 8.8e-17 | 8.8e-17 | 8.6e-17 | 8.8e-17 | 4.6e-03 | 1.3e-01 | 5.6e-16 | 8.8e-17 | 8.2e-17 | NA |
| Z-IPSO | 8.8e-17 | 8.8e-17 | 8.6e-17 | 8.8e-17 | 9.2e-01 | 1.0e+00 | 1.1e-11 | 8.8e-17 | 8.3e-17 | 1.0e+00 |
|
| Ring topology |
| A-PSO-10 | B-PSO-100 | C-PSO-1000 | D-EPUS | E-PSOLS-5 | F-PSOLS-10 | G-PSOLS-20 | H-EPUSLS | I-RLS | J-ISL |
| B-PSO-100 | 9.7e-17 | NA | NA | NA | NA | NA | NA | NA | NA | NA |
| C-PSO-1000 | 9.7e-17 | 1.0e+00 | NA | NA | NA | NA | NA | NA | NA | NA |
| D-EPUS | 1.0e+00 | 1.0e+00 | 1.0e+00 | NA | NA | NA | NA | NA | NA | NA |
| E-PSOLS-5 | 9.7e-17 | 1.0e+00 | 1.0e+00 | 9.7e-17 | NA | NA | NA | NA | NA | NA |
| F-PSOLS-10 | 9.7e-17 | 1.0e+00 | 1.0e+00 | 9.7e-17 | 1.0e+00 | NA | NA | NA | NA | NA |
| G-PSOLS-20 | 9.7e-17 | 1.0e+00 | 1.0e+00 | 9.7e-17 | 1.0e+00 | 1.0e+00 | NA | NA | NA | NA |
| H-EPUSLS | 2.3e-16 | 1.0e+00 | 1.0e+00 | 9.7e-17 | 1.0e+00 | 1.0e+00 | 1.0e+00 | NA | NA | NA |
| I-RLS | 2.0e-16 | 1.0e+00 | 1.0e+00 | 9.7e-17 | 1.0e+00 | 1.0e+00 | 1.0e+00 | 1.8e-03 | NA | NA |
| J-ISL | 9.7e-17 | 1.0e+00 | 1.0e+00 | 9.7e-17 | 1.0e+00 | 1.0e+00 | 1.2e-14 | 9.6e-17 | 8.3e-17 | NA |
| Z-IPSO | 9.7e-17 | 1.0e+00 | 1.0e+00 | 9.7e-17 | 1.7e-02 | 5.2e-02 | 5.9e-15 | 9.6e-17 | 8.3e-17 | 7.1e-02 |
|
| Weierstrass function - 100 dimensions |
| Fully-connected topology |
| A-PSO-10 | B-PSO-100 | C-PSO-1000 | D-EPUS | E-PSOLS-5 | F-PSOLS-10 | G-PSOLS-20 | H-EPUSLS | I-RLS | J-ISL |
| B-PSO-100 | 1.1e-16 | NA | NA | NA | NA | NA | NA | NA | NA | NA |
| C-PSO-1000 | 1.1e-16 | 1.1e-16 | NA | NA | NA | NA | NA | NA | NA | NA |
| D-EPUS | 5.7e-14 | 1.0e+00 | 1.0e+00 | NA | NA | NA | NA | NA | NA | NA |
| E-PSOLS-5 | 1.1e-16 | 1.1e-16 | 1.1e-16 | 1.1e-16 | NA | NA | NA | NA | NA | NA |
| F-PSOLS-10 | 1.1e-16 | 1.1e-16 | 1.1e-16 | 1.1e-16 | 2.6e-10 | NA | NA | NA | NA | NA |
| G-PSOLS-20 | 1.1e-16 | 1.1e-16 | 1.1e-16 | 1.1e-16 | 2.0e-15 | 2.0e-08 | NA | NA | NA | NA |
| H-EPUSLS | 1.1e-16 | 1.1e-16 | 1.1e-16 | 1.1e-16 | 1.0e+00 | 1.0e+00 | 1.0e+00 | NA | NA | NA |
| I-RLS | 1.1e-16 | 1.1e-16 | 1.1e-16 | 1.1e-16 | 1.4e-16 | 9.1e-14 | 2.0e-08 | 1.6e-16 | NA | NA |
| J-ISL | 1.1e-16 | 1.1e-16 | 1.1e-16 | 1.1e-16 | 1.1e-16 | 3.0e-15 | 6.9e-10 | 1.7e-16 | 2.4e-01 | NA |
| Z-IPSO | 1.1e-16 | 1.1e-16 | 1.4e-04 | 1.1e-16 | 1.0e+00 | 1.0e+00 | 1.0e+00 | 1.0e+00 | 1.0e+00 | 1.0e+00 |
|
| Ring topology |
| A-PSO-10 | B-PSO-100 | C-PSO-1000 | D-EPUS | E-PSOLS-5 | F-PSOLS-10 | G-PSOLS-20 | H-EPUSLS | I-RLS | J-ISL |
| B-PSO-100 | 1.6e-14 | NA | NA | NA | NA | NA | NA | NA | NA | NA |
| C-PSO-1000 | 1.6e-16 | 5.8e-06 | NA | NA | NA | NA | NA | NA | NA | NA |
| D-EPUS | 1.1e-16 | 1.1e-16 | 1.1e-16 | NA | NA | NA | NA | NA | NA | NA |
| E-PSOLS-5 | 1.1e-16 | 1.1e-16 | 1.1e-16 | 1.1e-16 | NA | NA | NA | NA | NA | NA |
| F-PSOLS-10 | 1.1e-16 | 1.1e-16 | 1.1e-16 | 1.1e-16 | 1.5e-10 | NA | NA | NA | NA | NA |
| G-PSOLS-20 | 1.1e-16 | 1.1e-16 | 1.1e-16 | 1.1e-16 | 6.1e-16 | 3.0e-09 | NA | NA | NA | NA |
| H-EPUSLS | 1.1e-16 | 1.1e-16 | 1.1e-16 | 1.1e-16 | 1.0e+00 | 1.0e+00 | 1.0e+00 | NA | NA | NA |
| I-RLS | 1.1e-16 | 1.1e-16 | 1.1e-16 | 1.1e-16 | 1.6e-16 | 1.1e-13 | 1.4e-07 | 2.2e-16 | NA | NA |
| J-ISL | 1.1e-16 | 1.1e-16 | 1.1e-16 | 1.1e-16 | 1.0e+00 | 1.0e+00 | 1.0e+00 | 1.0e+00 | 1.0e+00 | NA |
| Z-IPSO | 1.1e-16 | 1.1e-16 | 1.1e-16 | 1.0e+00 | 1.0e+00 | 1.0e+00 | 1.0e+00 | 1.0e+00 | 1.0e+00 | 1.0e+00 |
|
Effect size analysis
The following figures show the effect size due to the use of a bias of different strength in the new particles' initialization rule. The experiments were run on functions with different fitness distance correlations.
Results after 100 function evaluations
| IPSO |
| Fully-connected topology | Ring topology |
 |
 |
| IPSOLS |
| Fully-connected topology | Ring topology |
 |
 |
Results after 1,000 function evaluations
| IPSO |
| Fully-connected topology | Ring topology |
 |
 |
| IPSOLS |
| Fully-connected topology | Ring topology |
 |
 |
Results after 10,000 function evaluations
| IPSO |
| Fully-connected topology | Ring topology |
 |
 |
| IPSOLS |
| Fully-connected topology | Ring topology |
 |
 |
Results after 100,000 function evaluations
| IPSO |
| Fully-connected topology | Ring topology |
 |
 |
| IPSOLS |
| Fully-connected topology | Ring topology |
 |
 |
Results after 1,000,000 function evaluations
| IPSO |
| Fully-connected topology | Ring topology |
 |
 |
| IPSOLS |
| Fully-connected topology | Ring topology |
 |
 |
Redesigning the IPSOLS algorithm
The following figures show the boxplots of the overall solution quality distribution of IPSOLS variants after 500000 function evaluations on 100-dimensional test functions.
| Over all functions - 100 dimensions |
| Mean |
Median |
 |
 |
Stage 2: Changing the Strategy for Calling and
Controlling the Local Search Method - IPSOLS ORIGINAL vs. IPSOLS ONLY-BEST and BEST-ADAPTIVE
| Over all functions - 100 dimensions |
| Mean |
Median |
 |
 |
| Over all functions - 100 dimensions |
| Mean |
Median |
 |
 |
Stage 3: Vectorial PSO rules - IPSOLS BEST-ADAPTIVE vs. IPSOLS VERTICAL
| Over all functions - 100 dimensions |
| Mean |
Median |
 |
 |
Stage 4: Penalizing Bound Constraints Violation - IPSOLS VECTORIAL vs. IPSOLS PENALIZATION
| Over all functions - 100 dimensions |
| Mean |
Median |
 |
 |
Stage 5: Fighting Stagnation by Modifying the Local Search Call Strategy - IPSOLS PENALIZATION vs. IPSOLS FAILURES
| Over all functions - 100 dimensions |
| Mean |
Median |
 |
 |
Stage 6: Fighting Stagnation with Restarts - IPSOLS FAILURES vs. IPSOLS RESTARTS
| Over all functions - 100 dimensions |
| Mean |
Median |
 |
 |
Comparison of All IPSOLS Variants
| Over all functions - 100 dimensions |
| Mean |
Median |
 |
 |
Parameter Tuning with Iterative F-Race
The following tables show the best parameter configuration of IPSOLS variants found by Iterative F-Race. Each rows in tables show the best configuration obtained through each Iterative F-Race runs. Best configurations are in bold faces.
IPSOLS BOBYQA
Trial |
MaxFES |
InitPopSize |
FTol |
Inertia Weight |
Acc. Coef. 1 |
Acc. Coef. 2 |
k |
Topology |
RhoBeg |
Mean Value |
1 |
210 |
1 |
-4.517 |
0.03403 |
0 |
1.607 |
1 |
RING |
6.373 |
3.176 |
2 |
210 |
58 |
-4.082 |
0.00623 |
0 |
3.006 |
8 |
RING |
9.963 |
1.083 |
3 |
210 |
50 |
-3.404 |
0.2539 |
0 |
2.951 |
6 |
RING |
10 |
1.025 |
4 |
210 |
1 |
-15 |
0.8531 |
1.165 |
0.9096 |
1 |
RING |
10.1 |
3.995 |
5 |
210 |
34 |
-4.36 |
0.639 |
0 |
1.349 |
4 |
RING |
10.89 |
1.668 |
6 |
208 |
18 |
-4.088 |
0.07955 |
0 |
2.319 |
3 |
RING |
4.792 |
3.813 |
7 |
210 |
14 |
-4.164 |
0.01138 |
0 |
2.157 |
8 |
RING |
10.06 |
1.169 |
8 |
210 |
1 |
-14.52 |
0.6693 |
0 |
1.404 |
1 |
RING |
10.04 |
3.971 |
9 |
203 |
30 |
-5.005 |
0 |
1.479 |
1.79 |
4 |
RING |
10 |
3.223 |
10 |
203 |
51 |
-4.014 |
0.2325 |
0 |
2.225 |
4 |
RING |
7.683 |
1.903 |
| |
|
|
|
|
|
|
|
|
|
|
Ranges |
(21, 210) |
(1, 100) |
(-15, -1) |
(0, 1) |
(0, 4) |
(0, 4) |
(1, 10) |
FC/RING |
(1e-20,45) |
|
IPSOLS-Stage-I (Original)
Trial |
MaxITER |
InitPopSize |
FTol |
Inertia Weight |
Acc. Coef. 1 |
Acc. Coef. 2 |
k |
Topology |
Step Size |
Mean Value |
1 |
8 |
5 |
-3.064 |
0 |
4 |
0.5105 |
4 |
FC |
15.32 |
0.4382 |
2 |
10 |
1 |
-2.794 |
0.6304 |
3809 |
3.258 |
1 |
FC |
15.17 |
0.4243 |
3 |
10 |
2 |
-2.751 |
0.06246 |
0 |
0.9609 |
5 |
RING |
15.18 |
0.2613 |
4 |
8 |
42 |
-1.005 |
0.08355 |
0.1529 |
2.554 |
2 |
FC |
7049 |
0.1919 |
5 |
10 |
5 |
-2.714 |
0.0941 |
0.6838 |
1.676 |
6 |
FC |
15.37 |
0.2968 |
6 |
10 |
2 |
-2.758 |
0.3845 |
0 |
2.092 |
2 |
FC |
15.38 |
0.1407 |
7 |
10 |
1 |
-1 |
0.4013 |
0 |
1.994 |
10 |
RING |
13.43 |
0.7931 |
8 |
9 |
3 |
-2.92 |
0 |
0 |
1.82 |
6 |
RING |
15.75 |
0.09256 |
9 |
10 |
1 |
-2.59 |
0.3721 |
0 |
0.8878 |
9 |
RING |
10.7 |
1.921 |
10 |
1 |
6 |
-2845 |
0.339 |
1.029 |
2.081 |
10 |
RING |
14.29 |
0.6731 |
| |
|
|
|
|
|
|
|
|
|
|
Ranges |
(1, 10) |
(1, 100) |
(-13, -1) |
(0, 1) |
(0, 4) |
(0, 4) |
(1, 10) |
FC/RING |
(1e-20, 100) |
|
IPSOLS-Stage-II (Best-Adaptive)
Trial |
MaxITER |
InitPopSize |
FTol |
Inerita Weight |
Acc. Coef. 1 |
Acc. Coef. 2 |
k |
Topology |
Mean Value |
1 |
10 |
92 |
-12.38 |
0.00901 |
0.8131 |
1.808 |
10 |
FC |
0.05977 |
2 |
10 |
85 |
-11.85 |
0.02658 |
2.519 |
1.38 |
9 |
FC |
0.05825 |
3 |
10 |
24 |
-4.767 |
0 |
0.9839 |
1.659 |
1 |
FC |
0.08766 |
4 |
10 |
100 |
-4.306 |
0.01122 |
1.046 |
1.794 |
5 |
FC |
0.1185 |
5 |
9 |
98 |
-8.825 |
0.00418 |
0 |
1.822 |
9 |
FC |
0.09835 |
6 |
3 |
1 |
-12.17 |
0 |
1.972 |
1.423 |
1 |
FC |
0.6735 |
7 |
10 |
4 |
-5.413 |
0 |
2.67 |
1.225 |
1 |
FC |
0.1586 |
8 |
10 |
1 |
-8.13 |
0 |
1.587 |
1.403 |
1 |
FC |
0.09872 |
9 |
9 |
33 |
-5.245 |
0.05208 |
1.955 |
1.531 |
1 |
FC |
0.06277 |
10 |
8 |
72 |
-7.028 |
0 |
2.955 |
1.408 |
1 |
FC |
0.3201 |
| |
|
|
|
|
|
|
|
|
|
Ranges |
(1, 10) |
(1, 100) |
(-13, -1) |
(0, 1) |
(0, 4) |
(0, 4) |
(1, 10) |
FC/RING |
|
IPSOLS-Stage-III (Vectorial)
Trial |
MaxITER |
InitPopSize |
FTol |
inertia Weight |
Acc. Coef. 1 |
Acc. Coef. 2 |
k |
Topology |
Mean Value |
1 |
10 |
100 |
-1 |
0 |
0 |
2.207 |
9 |
FC |
0.8002 |
2 |
10 |
100 |
-1 |
0 |
0 |
2.708 |
9 |
FC |
0.6403 |
3 |
8 |
67 |
-1 |
0 |
1.187 |
1.868 |
9 |
FC |
0.2496 |
4 |
8 |
19 |
-5.351 |
0.00270 |
1.602 |
1.817 |
1 |
FC |
0.2225 |
5 |
2 |
79 |
-11.05 |
0.1273 |
1.363 |
1.804 |
5 |
FC |
0.6853 |
6 |
10 |
94 |
-1.378 |
0.00798 |
0.09674 |
2.199 |
5 |
FC |
0.1369 |
7 |
4 |
1 |
-1 |
0 |
0 |
2.161 |
1 |
FC |
0.2961 |
8 |
9 |
100 |
-1 |
0 |
0.2632 |
2.222 |
8 |
FC |
0.1348 |
9 |
2 |
1 |
-6.728 |
0 |
1.416 |
2.001 |
1 |
FC |
0.4488 |
10 |
5 |
45 |
-1 |
0 |
0 |
2.349 |
10 |
FC |
0.00760 |
| |
|
|
|
|
|
|
|
|
|
Ranges |
(1, 10) |
(1, 100) |
(-13, -1) |
(0, 1) |
(0, 4) |
(0, 4) |
(1, 10) |
FC/RING |
|
IPSOLS-Stage-IV (Penalization)
Trial |
MaxITER |
InitPopSize |
FTol |
Inertia Weight |
Acc. Coef. 1 |
Acc. Coef 2 |
k |
Topology |
Mean Value |
1 |
6 |
100 |
-1 |
0.00394 |
0.6322 |
2.348 |
8 |
FC |
0.08538 |
2 |
4 |
63 |
-1.019 |
0 |
0 |
2.438 |
9 |
FC |
0.1311 |
3 |
10 |
12 |
-6.149 |
0 |
0.7599 |
1.188 |
1 |
FC |
0.3723 |
4 |
4 |
64 |
-1.324 |
0.00765 |
0 |
2.324 |
5 |
FC |
0.06366 |
5 |
2 |
66 |
-11.34 |
0 |
0.2045 |
2.537 |
8 |
FC |
0.1245 |
6 |
10 |
22 |
-9.673 |
0.00772 |
1.9 |
1.041 |
1 |
FC |
0.123 |
7 |
2 |
32 |
-8.59 |
0.1115 |
0.6605 |
2.333 |
6 |
FC |
0.3571 |
8 |
5 |
93 |
-1 |
0 |
0.1153 |
2.137 |
9 |
FC |
0.145 |
9 |
10 |
29 |
-1.126 |
0 |
0.3124 |
2.399 |
1 |
FC |
0.08866 |
10 |
2 |
100 |
-5.812 |
0.01202 |
0.5897 |
1.994 |
10 |
FC |
0.3751 |
| |
|
|
|
|
|
|
|
|
|
Ranges |
(1, 10) |
(1, 100) |
(-13, -1) |
(0, 1) |
(0, 4) |
(0, 4) |
(1, 10) |
FC/RING |
|
IPSOLS-Stage-V (Failures)
Trial |
MaxITER |
InitPopSize |
FTol |
Inertia Weight |
Acc. Coef. 1 |
Acc. Coef. 2 |
k |
Topology |
MaxFailures |
Mean Value |
1 |
7 |
3 |
-1.087 |
0 |
0 |
2.604 |
1 |
FC |
20 |
0.08916 |
2 |
5 |
26 |
-1 |
0 |
0.5818 |
2.007 |
4 |
FC |
19 |
0.1021 |
3 |
2 |
95 |
-8.608 |
0.1087 |
0 |
2.362 |
10 |
FC |
11 |
0.2627 |
4 |
9 |
59 |
-1 |
0 |
0.1389 |
2.111 |
6 |
FC |
17 |
0.1756 |
5 |
2 |
98 |
-13 |
0 |
0.1095 |
2.292 |
9 |
FC |
16 |
0.3108 |
6 |
2 |
29 |
-13 |
0 |
0.7424 |
2.273 |
4 |
FC |
18 |
0.3152 |
7 |
2 |
1 |
-8.551 |
0 |
0.6598 |
2.053 |
2 |
FC |
20 |
0.9599 |
8 |
2 |
88 |
-12.56 |
0.05821 |
0.9195 |
2.367 |
9 |
FC |
11 |
0.2052 |
9 |
6 |
62 |
-1 |
0 |
0 |
2.309 |
8 |
FC |
20 |
0.1936 |
10 |
9 |
34 |
-1 |
0.06219 |
0.2031 |
2.115 |
10 |
FC |
13 |
0.5733 |
| |
|
|
|
|
|
|
|
|
|
|
Ranges |
(1, 10) |
(1, 100) |
(-13, -1) |
(0, 1) |
(0, 4) |
(0, 4) |
(1, 10) |
FC/RING |
(1e-20,100) |
|
IPSOLS-Stage-VI (Restarts)
Trial |
InitPopSize |
MaxITER |
FTol |
Inertia Weight |
Acc. Coef. 1 |
Acc. Coef. 2 |
k |
MaxStagIter |
MaxFailures |
Topology |
Mean Value |
1 |
37 |
1000 |
-1 |
0 |
0 |
2.335 |
4 |
30 |
11 |
FC |
0.009229 |
2 |
8 |
223 |
-1 |
0 |
0.487 |
1.996 |
1 |
23 |
13 |
FC |
0.0315 |
3 |
69 |
97 |
-1 |
0.01179 |
0.1871 |
1.974 |
5 |
26 |
20 |
FC |
0.008388 |
4 |
58 |
756 |
-1 |
0 |
1.128 |
2.138 |
6 |
23 |
11 |
FC |
0.01977 |
5 |
1 |
83 |
-1 |
0.001236 |
0.8443 |
1.854 |
1 |
27 |
13 |
FC |
0.004908 |
6 |
64 |
964 |
-1 |
0 |
0.6752 |
2.217 |
10 |
29 |
15 |
FC |
0.01082 |
7 |
73 |
516 |
-1 |
0 |
0.5714 |
2.269 |
7 |
25 |
19 |
FC |
0.01561 |
8 |
35 |
254 |
-1.048 |
0 |
0 |
2.053 |
6 |
29 |
14 |
FC |
0.01078 |
9 |
40 |
941 |
-1 |
0 |
0 |
1.998 |
8 |
27 |
9 |
FC |
0.007403 |
10 |
43 |
960 |
-1 |
0.03166 |
0 |
1.845 |
5 |
26 |
20 |
FC |
0.02224 |
| |
|
|
|
|
|
|
|
|
|
|
|
Ranges |
(1,100) |
(1,1000) |
(-13,-1) |
(0,1) |
(0,4) |
(0,4) |
(1,10) |
(2,30) |
(1,20) |
FC/RING |
|
Execution Time and Function Evaluations Scalability
The following figures show median number of function evaluations (FES) and median number of seconds to nd a solution at least as good as the 0.9-quantile of solution quality distribution (SQD) after up to 5000n FES (i.e., the maximum computational budget represented by the thin dotted line) on each functions. The result of a regression analysis over the observed data is shown with a dotted line.
F1: Shifted Sphere Function
| Shifted Sphere Function |
| Median number of function evaluations (FES) |
Median number of seconds |
 |
 |
F2: Shifted Schwefel Problem 2.21
| Shifted Schwefel Problem 2.21 |
| Median number of function evaluations (FES) |
Median number of seconds |
 |
 |
F3: Shifted Rosenbrock Function
| F3: Shifted Rosenbrock Function |
| Median number of function evaluations (FES) |
Median number of seconds |
 |
 |
F4: Shifted Rastrigin Function
| Shifted Rastrigin Function |
| Median number of function evaluations (FES) |
Median number of seconds |
 |
 |
F5: Shifted Griewank Function
| F5: Shifted Griewank’s Function |
| Median number of function evaluations (FES) |
Median number of seconds |
 |
 |
F6: Shifted Ackley Function
| Shifted Ackley Function |
| Median number of function evaluations (FES) |
Median number of seconds |
 |
 |
F7: Shifted Schwefel Problem 2.22
| Shifted Schwefel Problem 2.22 |
| Median number of function evaluations (FES) |
Median number of seconds |
 |
 |
F8: Shifted Schwefel Problem 1.2
| Shifted Schwefel Problem 1.2 |
| Median number of function evaluations (FES) |
Median number of seconds |
 |
 |
F9: Shifted Extended f10
| Shifted Extended f10 |
| Median number of function evaluations (FES) |
Median number of seconds |
 |
 |
F10: Shifted Bohachevsky
| Shifted Bohachevsky |
| Median number of function evaluations (FES) |
Median number of seconds |
 |
 |
F11: Shifted Schaffer
| Shifted Schaffer |
| Median number of function evaluations (FES) |
Median number of seconds |
 |
 |
F12: Hybrid Function 1
| Hybrid Function 1 |
| Median number of function evaluations (FES) |
Median number of seconds |
 |
 |
F13: Hybrid Function 2
| Hybrid Function 2 |
| Median number of function evaluations (FES) |
Median number of seconds |
 |
 |
F14: Hybrid Function 3
| Hybrid Function 3 |
| Median number of function evaluations (FES) |
Median number of seconds |
 |
 |
F15: Hybrid Function 4
| Hybrid Function 4 |
| Median number of function evaluations (FES) |
Median number of seconds |
 |
 |
F15: Hybrid Function 5
| Hybrid Function 5 |
| Median number of function evaluations (FES) |
Median number of seconds |
 |
 |
F15: Hybrid Function 6
| Hybrid Function 6 |
| Median number of function evaluations (FES) |
Median number of seconds |
 |
 |
F15: Hybrid Function 7
| Hybrid Function 7 |
| Median number of function evaluations (FES) |
Median number of seconds |
 |
 |
F15: Hybrid Function 8
| Hybrid Function 8 |
| Median number of function evaluations (FES) |
Median number of seconds |
 |
 |
Comparison of DE, CHC, G-CMA-ES, and the default and tuned configurations of IPSOLS
The following tables show the comparison of the average, median, maximum and minimum objective function values obtained with DE, CHC, G-CMA-ES, and the default and tuned configurations of IPSOLS.
Average Error
| DE |
F1 |
F2 |
F3 |
F4 |
F5 |
F6 |
F7 |
F8 |
F9 |
F10 |
F11 |
F12 |
F13 |
F14 |
F15 |
F16* |
F17* |
F18* |
F19* |
| 50 |
0.00E+00 |
3.60E-01 |
2.89E+01 |
3.98E-02 |
0.00E+00 |
1.43E-13 |
0.00E+00 |
3.44E+00 |
2.73E+02 |
0.00E+00 |
6.23E-05 |
5.35E-13 |
2.45E+01 |
4.16E-08 |
0.00E+00 |
1.56E-09 |
7.98E-01 |
1.22E-04 |
0.00E+00 |
| 100 |
0.00E+00 |
4.45E+00 |
8.01E+01 |
7.96E-02 |
0.00E+00 |
3.10E-13 |
0.00E+00 |
3.69E+02 |
5.06E+02 |
0.00E+00 |
1.28E-04 |
5.99E-11 |
6.17E+01 |
4.79E-02 |
0.00E+00 |
3.58E-09 |
1.23E+01 |
2.98E-04 |
0.00E+00 |
| 200 |
0.00E+00 |
1.92E+01 |
1.78E+02 |
1.27E-01 |
0.00E+00 |
6.54E-13 |
0.00E+00 |
5.53E+03 |
1.01E+03 |
0.00E+00 |
2.62E-04 |
9.76E-10 |
1.36E+02 |
1.38E-01 |
0.00E+00 |
7.46E-09 |
3.70E+01 |
4.73E-04 |
0.00E+00 |
| 500 |
0.00E+00 |
5.35E+01 |
4.76E+02 |
3.20E-01 |
0.00E+00 |
1.65E-12 |
0.00E+00 |
6.09E+04 |
2.52E+03 |
0.00E+00 |
6.76E-04 |
7.07E-09 |
3.59E+02 |
1.35E-01 |
0.00E+00 |
2.04E-08 |
1.11E+02 |
1.22E-03 |
0.00E+00 |
| 1000 |
0.00E+00 |
8.46E+01 |
9.69E+02 |
1.44E+00 |
0.00E+00 |
3.29E-12 |
0.00E+00 |
2.46E+05 |
5.13E+03 |
0.00E+00 |
1.35E-03 |
1.68E-08 |
7.30E+02 |
6.90E-01 |
0.00E+00 |
4.18E-08 |
2.36E+02 |
2.37E-03 |
0.00E+00 |
|
|
|
|
|
|
|
|
|
|
|
|
|
|
|
|
|
|
|
|
| CHC |
F1 |
F2 |
F3 |
F4 |
F5 |
F6 |
F7 |
F8 |
F9 |
F10 |
F11 |
F12 |
F13 |
F14 |
F15 |
F16* |
F17* |
F18* |
F19* |
| 50 |
1.67E-11 |
6.19E+01 |
1.25E+06 |
7.43E+01 |
1.67E-03 |
6.15E-07 |
2.66E-09 |
2.24E+02 |
3.10E+02 |
7.30E+00 |
2.16E+00 |
9.57E-01 |
2.08E+06 |
6.17E+01 |
3.98E-01 |
2.95E-09 |
2.26E+04 |
1.58E+01 |
3.59E+02 |
| 100 |
3.56E-11 |
8.58E+01 |
4.19E+06 |
2.19E+02 |
3.83E-03 |
4.10E-07 |
1.40E-02 |
1.69E+03 |
5.86E+02 |
3.30E+01 |
7.32E+01 |
1.03E+01 |
2.70E+06 |
1.66E+02 |
8.13E+00 |
2.23E+01 |
1.47E+05 |
7.00E+01 |
5.45E+02 |
| 200 |
8.34E-01 |
1.03E+02 |
2.01E+07 |
5.40E+02 |
8.76E-03 |
1.23E+00 |
2.59E-01 |
9.38E+03 |
1.19E+03 |
7.13E+01 |
3.85E+02 |
7.44E+01 |
5.75E+06 |
4.29E+02 |
2.14E+01 |
1.60E+02 |
1.75E+05 |
2.12E+02 |
2.06E+03 |
| 500 |
2.84E-12 |
1.29E+02 |
1.14E+06 |
1.91E+03 |
6.98E-03 |
5.16E+00 |
1.27E-01 |
7.22E+04 |
3.00E+03 |
1.86E+02 |
1.81E+03 |
4.48E+02 |
3.22E+07 |
1.46E+03 |
6.01E+01 |
9.55E+02 |
8.40E+05 |
7.32E+02 |
1.76E+03 |
| 1000 |
1.36E-11 |
1.44E+02 |
8.75E+03 |
4.76E+03 |
7.02E-03 |
1.38E+01 |
3.52E-01 |
3.11E+05 |
6.11E+03 |
3.83E+02 |
4.82E+03 |
1.05E+03 |
6.66E+07 |
3.62E+03 |
8.37E+01 |
2.32E+03 |
2.04E+07 |
1.72E+03 |
4.20E+03 |
| |
|
|
|
|
|
|
|
|
|
|
|
|
|
|
|
|
|
|
|
| G-CMA-ES |
F1 |
F2 |
F3 |
F4 |
F5 |
F6 |
F7 |
F8 |
F9 |
F10 |
F11 |
F12 |
F13 |
F14 |
F15 |
F16* |
F17* |
F18* |
F19* |
| 50 |
0.00E+00 |
2.75E-11 |
7.97E-01 |
1.05E+02 |
2.96E-04 |
2.09E+01 |
1.01E-10 |
0.00E+00 |
1.66E+01 |
6.81E+00 |
3.01E+01 |
1.88E+02 |
1.97E+02 |
1.09E+02 |
9.79E-04 |
4.27E+02 |
6.89E+02 |
1.31E+02 |
4.76E+00 |
| 100 |
0.00E+00 |
1.51E-10 |
3.88E+00 |
2.50E+02 |
1.58E-03 |
2.12E+01 |
4.22E-04 |
0.00E+00 |
1.02E+02 |
1.66E+01 |
1.64E+02 |
4.17E+02 |
4.21E+02 |
2.55E+02 |
6.30E-01 |
8.59E+02 |
1.51E+03 |
3.07E+02 |
2.02E+01 |
| 200 |
0.00E+00 |
1.16E-09 |
8.91E+01 |
6.48E+02 |
0.00E+00 |
2.14E+01 |
1.17E-01 |
0.00E+00 |
3.75E+02 |
4.43E+01 |
8.03E+02 |
9.06E+02 |
9.43E+02 |
6.09E+02 |
1.75E+00 |
1.92E+03 |
3.36E+03 |
6.89E+02 |
7.52E+02 |
| 500 |
0.00E+00 |
3.48E-04 |
3.58E+02 |
2.10E+03 |
2.96E-04 |
2.15E+01 |
7.21E+153 |
2.36E-06 |
1.74E+03 |
1.27E+02 |
4.16E+03 |
2.58E+03 |
2.87E+03 |
1.95E+03 |
2.82E+253 |
5.45E+03 |
9.59E+03 |
2.05E+03 |
2.44E+06 |
| |
|
|
|
|
|
|
|
|
|
|
|
|
|
|
|
|
|
|
|
| Default IPSOLS |
F1 |
F2 |
F3 |
F4 |
F5 |
F6 |
F7 |
F8 |
F9 |
F10 |
F11 |
F12 |
F13 |
F14 |
F15 |
F16* |
F17* |
F18* |
F19* |
| 50 |
0.00E+000 |
1.47E-004 |
2.35E-008 |
7.96E-002 |
0.00E+000 |
2.08E-012 |
0.00E+000 |
7.62E-008 |
6.50E-002 |
0.00E+000 |
3.55E-004 |
8.58E-005 |
4.62E-004 |
1.61E-005 |
5.12E-010 |
2.91E-004 |
4.97E+000 |
4.38E-002 |
2.36E-010 |
| 100 |
0.00E+000 |
1.59E-004 |
0.00E+000 |
0.00E+000 |
0.00E+000 |
2.53E-012 |
1.16E-014 |
2.59E-002 |
6.52E-002 |
0.00E+000 |
1.17E-003 |
2.34E-004 |
1.25E-003 |
6.31E-005 |
1.45E-009 |
4.10E-004 |
1.79E+001 |
3.19E-001 |
3.51E-010 |
| 200 |
0.00E+000 |
2.49E-004 |
0.00E+000 |
0.00E+000 |
0.00E+000 |
0.00E+000 |
1.18E-014 |
3.88E+001 |
2.09E-003 |
0.00E+000 |
4.86E-002 |
5.51E-004 |
1.39E-001 |
7.97E-002 |
3.21E-009 |
1.05E-003 |
8.74E+000 |
1.60E+000 |
5.55E-010 |
| 500 |
0.00E+000 |
3.77E-004 |
3.81E-012 |
0.00E+000 |
0.00E+000 |
0.00E+000 |
2.72E-014 |
8.05E+003 |
1.49E-001 |
0.00E+000 |
4.21E-001 |
1.18E-003 |
9.00E-001 |
4.00E-002 |
1.00E-008 |
6.74E-002 |
1.51E+001 |
1.39E+000 |
1.58E-009 |
| 1000 |
0.00E+000 |
4.51E-004 |
7.73E+000 |
3.98E-002 |
0.00E+000 |
0.00E+000 |
6.99E-014 |
9.88E+004 |
8.31E+000 |
0.00E+000 |
4.72E+000 |
6.15E-001 |
1.07E+001 |
2.79E+000 |
1.57E-008 |
7.00E-002 |
4.42E+000 |
2.06E+000 |
2.57E-009 |
| |
|
|
|
|
|
|
|
|
|
|
|
|
|
|
|
|
|
|
|
| Tuned IPSOLS |
F1 |
F2 |
F3 |
F4 |
F5 |
F6 |
F7 |
F8 |
F9 |
F10 |
F11 |
F12 |
F13 |
F14 |
F15 |
F16* |
F17* |
F18* |
F19* |
| 50 |
0.00E+000 |
2.56E-014 |
0.00E+000 |
0.00E+000 |
6.72E-003 |
0.00E+000 |
4.98E-012 |
4.78E-009 |
4.95E-006 |
0.00E+000 |
8.19E-002 |
1.17E-011 |
2.65E-010 |
1.18E+000 |
2.62E-011 |
2.80E+000 |
3.10E+000 |
1.24E+000 |
1.19E-011 |
| 100 |
0.00E+000 |
3.42E-014 |
0.00E+000 |
0.00E+000 |
1.31E-002 |
0.00E+000 |
3.00E-012 |
7.18E-003 |
1.09E+000 |
0.00E+000 |
1.48E-003 |
2.58E-011 |
1.59E-001 |
4.34E+000 |
2.89E-011 |
9.09E-012 |
8.16E-003 |
1.68E+000 |
7.33E-012 |
| 200 |
0.00E+000 |
3.23E-014 |
0.00E+000 |
0.00E+000 |
0.00E+000 |
0.00E+000 |
1.14E-011 |
2.47E+001 |
4.09E+000 |
0.00E+000 |
6.98E+000 |
6.65E-012 |
2.55E+000 |
4.27E+000 |
1.08E-010 |
1.65E+000 |
1.15E+001 |
4.34E+000 |
1.11E-011 |
| 500 |
0.00E+000 |
8.07E-014 |
0.00E+000 |
2.82E-003 |
0.00E+000 |
0.00E+000 |
1.06E-011 |
8.64E+003 |
1.13E+001 |
0.00E+000 |
1.14E+001 |
1.93E-011 |
4.14E+000 |
1.30E+001 |
2.83E-010 |
1.33E+000 |
1.33E+001 |
1.33E+001 |
2.73E-011 |
| 1000 |
0.00E+000 |
6.68E-014 |
0.00E+000 |
0.00E+000 |
0.00E+000 |
0.00E+000 |
7.13E-011 |
1.20E+005 |
9.76E+000 |
0.00E+000 |
9.75E+000 |
1.37E+000 |
1.28E+000 |
1.78E+001 |
1.39E-010 |
2.41E+000 |
6.49E+000 |
2.46E+001 |
1.01E-010 |
Median Error
| DE |
F1 |
F2 |
F3 |
F4 |
F5 |
F6 |
F7 |
F8 |
F9 |
F10 |
F11 |
F12 |
F13 |
F14 |
F15 |
F16* |
F17* |
F18* |
F19* |
| 50 |
0.00E+00 |
3.29E-01 |
2.90E+01 |
1.51E-13 |
0.00E+00 |
1.42E-13 |
0.00E+00 |
3.54E+00 |
2.73E+02 |
0.00E+00 |
5.60E-05 |
5.27E-13 |
2.44E+01 |
2.58E-08 |
0.00E+00 |
1.51E-09 |
6.83E-01 |
1.20E-04 |
0.00E+00 |
| 100 |
0.00E+00 |
4.34E+00 |
7.81E+01 |
4.23E-13 |
0.00E+00 |
3.13E-13 |
0.00E+00 |
3.47E+02 |
5.06E+02 |
0.00E+00 |
1.29E-04 |
6.18E-11 |
6.17E+01 |
1.30E-07 |
0.00E+00 |
3.53E-09 |
1.28E+01 |
2.86E-04 |
0.00E+00 |
| 200 |
0.00E+00 |
1.93E+01 |
1.77E+02 |
3.58E-12 |
0.00E+00 |
6.54E-13 |
0.00E+00 |
5.33E+03 |
1.01E+03 |
0.00E+00 |
2.59E-04 |
9.36E-10 |
1.36E+02 |
2.71E-07 |
0.00E+00 |
7.26E-09 |
3.70E+01 |
4.70E-04 |
0.00E+00 |
| 500 |
0.00E+00 |
5.33E+01 |
4.74E+02 |
9.22E-03 |
0.00E+00 |
1.65E-12 |
0.00E+00 |
6.11E+04 |
2.52E+03 |
0.00E+00 |
6.71E-04 |
6.98E-09 |
3.58E+02 |
9.01E-07 |
0.00E+00 |
2.05E-08 |
1.11E+02 |
1.22E-03 |
0.00E+00 |
| 1000 |
0.00E+00 |
8.44E+01 |
9.69E+02 |
1.32E+00 |
0.00E+00 |
3.30E-12 |
0.00E+00 |
2.46E+05 |
5.13E+03 |
0.00E+00 |
1.35E-03 |
1.70E-08 |
7.29E+02 |
9.95E-01 |
0.00E+00 |
4.19E-08 |
2.35E+02 |
2.37E-03 |
0.00E+00 |
| |
|
|
|
|
|
|
|
|
|
|
|
|
|
|
|
|
|
|
|
| CHC |
F1 |
F2 |
F3 |
F4 |
F5 |
F6 |
F7 |
F8 |
F9 |
F10 |
F11 |
F12 |
F13 |
F14 |
F15 |
F16* |
F17* |
F18* |
F19* |
| 50 |
1.63E-11 |
5.89E+01 |
1.33E+02 |
7.36E+01 |
1.32E-11 |
6.27E-07 |
1.40E-09 |
1.75E+02 |
3.08E+02 |
7.03E+00 |
1.12E-02 |
8.30E-11 |
6.90E+01 |
5.58E+01 |
6.05E-05 |
2.37E-09 |
7.89E+01 |
1.39E+01 |
4.20E+00 |
| 100 |
3.54E-11 |
8.58E+01 |
5.89E+03 |
2.17E+02 |
9.89E-12 |
4.12E-07 |
7.56E-10 |
1.66E+03 |
5.85E+02 |
2.52E+01 |
6.84E+01 |
7.59E-09 |
2.43E+02 |
1.65E+02 |
4.55E+00 |
1.65E+01 |
2.43E+02 |
6.85E+01 |
1.26E+01 |
| 200 |
1.81E-11 |
1.02E+02 |
1.12E+05 |
5.22E+02 |
7.40E-03 |
1.30E+00 |
1.90E-08 |
9.33E+03 |
1.19E+03 |
6.60E+01 |
3.68E+02 |
7.47E+01 |
3.35E+02 |
4.25E+02 |
1.24E+01 |
1.55E+02 |
4.15E+02 |
2.15E+02 |
1.65E+02 |
| 500 |
2.67E-12 |
1.28E+02 |
6.57E+02 |
1.91E+03 |
1.99E-13 |
5.18E+00 |
6.04E-08 |
7.24E+04 |
3.00E+03 |
1.64E+02 |
1.77E+03 |
4.49E+02 |
1.54E+03 |
1.45E+03 |
4.01E+01 |
9.36E+02 |
1.62E+03 |
7.29E+02 |
5.66E+02 |
| 1000 |
1.30E-11 |
1.44E+02 |
1.49E+03 |
4.73E+03 |
1.71E-13 |
1.40E+01 |
1.88E-03 |
3.13E+05 |
6.11E+03 |
3.17E+02 |
4.83E+03 |
1.04E+03 |
1.80E+03 |
3.65E+03 |
7.76E+01 |
2.30E+03 |
3.81E+03 |
1.71E+03 |
3.45E+03 |
| |
|
|
|
|
|
|
|
|
|
|
|
|
|
|
|
|
|
|
|
| G-CMA-ES |
F1 |
F2 |
F3 |
F4 |
F5 |
F6 |
F7 |
F8 |
F9 |
F10 |
F11 |
F12 |
F13 |
F14 |
F15 |
F16* |
F17* |
F18* |
F19* |
| 50 |
0.00E+00 |
2.64E-11 |
0.00E+00 |
1.08E+02 |
0.00E+00 |
2.11E+01 |
7.67E-11 |
0.00E+00 |
1.61E+01 |
6.71E+00 |
2.83E+01 |
1.87E+02 |
1.97E+02 |
1.05E+02 |
8.12E-04 |
4.22E+02 |
6.71E+02 |
1.27E+02 |
4.03E+00 |
| 100 |
0.00E+00 |
1.62E-10 |
2.27E+00 |
2.50E+02 |
0.00E+00 |
2.13E+01 |
6.98E-07 |
0.00E+00 |
1.06E+02 |
1.68E+01 |
1.51E+02 |
4.20E+02 |
4.12E+02 |
2.52E+02 |
4.13E-01 |
8.48E+02 |
1.52E+03 |
3.13E+02 |
1.47E+01 |
| 200 |
0.00E+00 |
9.91E-10 |
8.95E+01 |
6.68E+02 |
0.00E+00 |
2.14E+01 |
2.61E-02 |
0.00E+00 |
3.81E+02 |
4.41E+01 |
7.93E+02 |
9.08E+02 |
9.34E+02 |
6.24E+02 |
2.10E+00 |
1.90E+03 |
3.33E+03 |
6.88E+02 |
5.74E+02 |
| 500 |
0.00E+00 |
3.31E-04 |
3.55E+02 |
2.07E+03 |
0.00E+00 |
2.15E+01 |
2.14E+143 |
2.31E-06 |
1.76E+03 |
1.27E+02 |
4.18E+03 |
2.59E+03 |
2.87E+03 |
1.95E+03 |
5.57E+253 |
5.43E+03 |
9.50E+03 |
2.06E+03 |
2.50E+06 |
| |
|
|
|
|
|
|
|
|
|
|
|
|
|
|
|
|
|
|
|
| Default IPSOLS |
F1 |
F2 |
F3 |
F4 |
F5 |
F6 |
F7 |
F8 |
F9 |
F10 |
F11 |
F12 |
F13 |
F14 |
F15 |
F16* |
F17* |
F18* |
F19* |
| 50 |
0.00E+000 |
8.14E-005 |
0.00E+000 |
0.00E+000 |
0.00E+000 |
0.00E+000 |
0.00E+000 |
6.45E-008 |
4.14E-004 |
0.00E+000 |
2.46E-004 |
5.21E-005 |
1.32E-005 |
1.45E-005 |
4.43E-010 |
3.02E-004 |
4.02E-001 |
6.53E-005 |
1.55E-010 |
| 100 |
0.00E+000 |
1.18E-004 |
0.00E+000 |
0.00E+000 |
0.00E+000 |
0.00E+000 |
0.00E+000 |
2.44E-002 |
7.74E-004 |
0.00E+000 |
5.25E-004 |
1.84E-004 |
7.35E-005 |
5.93E-005 |
1.06E-009 |
3.90E-004 |
7.13E+000 |
1.79E-004 |
2.74E-010 |
| 200 |
0.00E+000 |
1.80E-004 |
0.00E+000 |
0.00E+000 |
0.00E+000 |
0.00E+000 |
0.00E+000 |
3.44E+001 |
1.97E-003 |
0.00E+000 |
1.67E-003 |
4.01E-004 |
9.95E-005 |
9.29E-005 |
2.06E-009 |
9.71E-004 |
1.22E+000 |
3.56E-004 |
2.95E-010 |
| 500 |
0.00E+000 |
2.80E-004 |
0.00E+000 |
0.00E+000 |
0.00E+000 |
0.00E+000 |
1.07E-014 |
8.08E+003 |
6.52E-003 |
0.00E+000 |
3.95E-003 |
9.13E-004 |
2.66E-004 |
1.56E-004 |
1.04E-008 |
2.51E-003 |
1.14E+000 |
6.31E-004 |
1.25E-009 |
| 1000 |
0.00E+000 |
3.70E-004 |
0.00E+000 |
0.00E+000 |
0.00E+000 |
0.00E+000 |
0.00E+000 |
9.97E+004 |
2.12E-002 |
0.00E+000 |
1.65E-002 |
2.54E-003 |
3.92E-003 |
4.92E-004 |
1.23E-008 |
4.92E-003 |
1.85E-001 |
1.61E-003 |
1.42E-009 |
| |
|
|
|
|
|
|
|
|
|
|
|
|
|
|
|
|
|
|
|
| Tuned IPSOLS |
F1 |
F2 |
F3 |
F4 |
F5 |
F6 |
F7 |
F8 |
F9 |
F10 |
F11 |
F12 |
F13 |
F14 |
F15 |
F16* |
F17* |
F18* |
F19* |
| 50 |
0.00E+000 |
1.42E-014 |
0.00E+000 |
0.00E+000 |
0.00E+000 |
0.00E+000 |
0.00E+000 |
1.75E-009 |
0.00E+000 |
0.00E+000 |
0.00E+000 |
1.02E-012 |
2.00E-010 |
1.77E-012 |
1.07E-011 |
3.08E-012 |
4.35E-008 |
8.06E-012 |
1.83E-012 |
| 100 |
0.00E+000 |
2.84E-014 |
0.00E+000 |
0.00E+000 |
0.00E+000 |
0.00E+000 |
1.53E-014 |
5.89E-003 |
0.00E+000 |
0.00E+000 |
0.00E+000 |
2.93E-012 |
1.37E-009 |
3.66E-012 |
9.03E-012 |
7.06E-012 |
1.49E-007 |
1.20E-011 |
3.43E-012 |
| 200 |
0.00E+000 |
2.84E-014 |
0.00E+000 |
0.00E+000 |
0.00E+000 |
0.00E+000 |
3.49E-014 |
2.33E+001 |
0.00E+000 |
0.00E+000 |
0.00E+000 |
6.11E-012 |
6.97E-009 |
7.70E-012 |
3.29E-011 |
1.66E-011 |
2.55E-007 |
1.92E-009 |
3.52E-012 |
| 500 |
0.00E+000 |
4.97E-014 |
0.00E+000 |
0.00E+000 |
0.00E+000 |
0.00E+000 |
3.94E-014 |
8.72E+003 |
0.00E+000 |
0.00E+000 |
0.00E+000 |
1.88E-011 |
4.25E-008 |
1.52E-010 |
7.72E-011 |
4.40E-011 |
2.07E-006 |
8.95E+000 |
9.55E-012 |
| 1000 |
0.00E+000 |
5.68E-014 |
0.00E+000 |
0.00E+000 |
0.00E+000 |
0.00E+000 |
2.04E-013 |
1.19E+005 |
0.00E+000 |
0.00E+000 |
1.62E-006 |
4.09E-011 |
1.50E-007 |
2.57E-009 |
6.32E-011 |
9.15E-011 |
3.91E-006 |
1.61E+000 |
1.61E-011 |
Maximum Error
| DE |
F1 |
F2 |
F3 |
F4 |
F5 |
F6 |
F7 |
F8 |
F9 |
F10 |
F11 |
F12 |
F13 |
F14 |
F15 |
F16* |
F17* |
F18* |
F19* |
| 50 |
0.00E+00 |
8.49E-01 |
3.10E+01 |
9.95E-01 |
0.00E+00 |
1.71E-13 |
0.00E+00 |
4.62E+00 |
2.74E+02 |
0.00E+00 |
1.04E-04 |
7.19E-13 |
2.64E+01 |
1.80E-07 |
0.00E+00 |
2.68E-09 |
2.24E+00 |
2.36E-04 |
0.00E+00 |
| 100 |
0.00E+00 |
5.59E+00 |
1.25E+02 |
9.95E-01 |
0.00E+00 |
3.41E-13 |
0.00E+00 |
4.84E+02 |
5.07E+02 |
0.00E+00 |
1.70E-04 |
8.27E-11 |
6.45E+01 |
9.95E-01 |
0.00E+00 |
4.52E-09 |
1.47E+01 |
4.98E-04 |
0.00E+00 |
| 200 |
0.00E+00 |
2.10E+01 |
2.27E+02 |
9.95E-01 |
0.00E+00 |
7.11E-13 |
0.00E+00 |
6.63E+03 |
1.01E+03 |
0.00E+00 |
3.10E-04 |
1.49E-09 |
1.38E+02 |
9.95E-01 |
0.00E+00 |
9.60E-09 |
3.95E+01 |
6.07E-04 |
0.00E+00 |
| 500 |
0.00E+00 |
5.59E+01 |
5.22E+02 |
2.25E+00 |
0.00E+00 |
1.71E-12 |
0.00E+00 |
6.51E+04 |
2.53E+03 |
0.00E+00 |
7.83E-04 |
9.29E-09 |
3.78E+02 |
1.12E+00 |
0.00E+00 |
2.30E-08 |
1.13E+02 |
1.74E-03 |
0.00E+00 |
| 1000 |
0.00E+00 |
8.65E+01 |
9.71E+02 |
4.69E+00 |
0.00E+00 |
3.41E-12 |
0.00E+00 |
2.58E+05 |
5.14E+03 |
0.00E+00 |
1.48E-03 |
1.94E-08 |
7.31E+02 |
2.77E+00 |
0.00E+00 |
4.71E-08 |
2.51E+02 |
3.23E-03 |
0.00E+00 |
| |
|
|
|
|
|
|
|
|
|
|
|
|
|
|
|
|
|
 |
|
| CHC |
F1 |
F2 |
F3 |
F4 |
F5 |
F6 |
F7 |
F8 |
F9 |
F10 |
F11 |
F12 |
F13 |
F14 |
F15 |
F16* |
F17* |
F18* |
F19* |
| 50 |
2.33E-11 |
8.43E+01 |
2.01E+07 |
1.00E+02 |
2.21E-02 |
7.33E-07 |
9.92E-09 |
6.27E+02 |
3.20E+02 |
1.62E+01 |
1.34E+01 |
2.39E+01 |
5.08E+07 |
1.48E+02 |
2.12E+00 |
9.17E-09 |
5.59E+05 |
2.94E+01 |
5.26E+03 |
| 100 |
4.80E-11 |
9.74E+01 |
7.26E+07 |
2.93E+02 |
4.16E-02 |
5.46E-07 |
3.50E-01 |
3.26E+03 |
5.99E+02 |
9.61E+01 |
1.55E+02 |
5.19E+01 |
5.61E+07 |
2.24E+02 |
6.42E+01 |
6.71E+01 |
1.78E+06 |
9.51E+01 |
5.67E+03 |
| 200 |
2.09E+01 |
1.15E+02 |
4.31E+08 |
7.72E+02 |
4.67E-02 |
4.41E+00 |
2.65E+00 |
1.49E+04 |
1.22E+03 |
1.42E+02 |
5.96E+02 |
1.59E+02 |
1.01E+08 |
5.14E+02 |
1.23E+02 |
2.94E+02 |
4.37E+06 |
2.61E+02 |
2.11E+04 |
| 500 |
4.38E-12 |
1.41E+02 |
2.85E+07 |
2.22E+03 |
4.42E-02 |
8.05E+00 |
1.66E+00 |
8.86E+04 |
3.03E+03 |
5.18E+02 |
2.47E+03 |
5.52E+02 |
2.21E+08 |
1.77E+03 |
2.66E+02 |
1.11E+03 |
1.21E+07 |
8.13E+02 |
1.17E+04 |
| 1000 |
2.33E-11 |
1.57E+02 |
1.80E+05 |
5.36E+03 |
3.83E-02 |
1.63E+01 |
2.90E+00 |
3.43E+05 |
6.16E+03 |
7.40E+02 |
5.42E+03 |
1.21E+03 |
1.67E+09 |
3.98E+03 |
1.31E+02 |
2.75E+03 |
3.15E+08 |
2.02E+03 |
1.73E+04 |
| |
|
|
|
|
|
|
|
|
|
|
|
|
|
|
|
|
|
|
|
| G-CMA-ES |
F1 |
F2 |
F3 |
F4 |
F5 |
F6 |
F7 |
F8 |
F9 |
F10 |
F11 |
F12 |
F13 |
F14 |
F15 |
F16* |
F17* |
F18* |
F19* |
| 50 |
0.00E+00 |
3.82E-11 |
3.99E+00 |
1.33E+02 |
7.40E-03 |
2.12E+01 |
2.32E-10 |
0.00E+00 |
3.36E+01 |
1.26E+01 |
6.94E+01 |
2.51E+02 |
2.32E+02 |
1.50E+02 |
3.85E-03 |
5.27E+02 |
8.03E+02 |
1.59E+02 |
9.28E+00 |
| 100 |
0.00E+00 |
2.72E-10 |
1.84E+01 |
3.50E+02 |
1.48E-02 |
2.14E+01 |
9.41E-03 |
0.00E+00 |
1.56E+02 |
2.46E+01 |
2.60E+02 |
4.77E+02 |
5.52E+02 |
3.04E+02 |
2.51E+00 |
9.75E+02 |
1.74E+03 |
3.41E+02 |
1.55E+02 |
| 200 |
0.00E+00 |
5.79E-09 |
1.19E+02 |
8.31E+02 |
0.00E+00 |
2.15E+01 |
7.85E-01 |
0.00E+00 |
4.92E+02 |
5.88E+01 |
1.04E+03 |
1.01E+03 |
1.08E+03 |
7.05E+02 |
4.92E+00 |
2.12E+03 |
3.84E+03 |
7.35E+02 |
3.08E+03 |
| 500 |
0.00E+00 |
5.70E-04 |
8.31E+02 |
2.31E+03 |
7.40E-03 |
2.16E+01 |
2.45E+156 |
3.91E-06 |
1.85E+03 |
1.55E+02 |
4.54E+03 |
2.76E+03 |
3.55E+03 |
2.15E+03 |
3.93E+253 |
5.85E+03 |
1.06E+04 |
2.17E+03 |
6.00E+06 |
| |
|
|
|
|
|
|
|
|
|
|
|
|
|
|
|
|
|
|
|
| Default IPSOLS |
F1 |
F2 |
F3 |
F4 |
F5 |
F6 |
F7 |
F8 |
F9 |
F10 |
F11 |
F12 |
F13 |
F14 |
F15 |
F16* |
F17* |
F18* |
F19* |
| 50 |
0.00E+000 |
7.48E-004 |
5.88E-007 |
1.99E+000 |
0.00E+000 |
5.20E-011 |
1.08E-014 |
2.68E-007 |
1.61E+000 |
0.00E+000 |
8.63E-004 |
2.35E-004 |
9.01E-003 |
5.49E-005 |
1.40E-009 |
6.14E-004 |
5.17E+001 |
9.95E-001 |
6.86E-010 |
| 100 |
0.00E+000 |
8.03E-004 |
1.59E-014 |
0.00E+000 |
0.00E+000 |
4.01E-011 |
1.82E-013 |
5.80E-002 |
1.61E+000 |
0.00E+000 |
3.89E-003 |
6.28E-004 |
1.16E-002 |
1.55E-004 |
4.16E-009 |
1.04E-003 |
7.61E+001 |
4.98E+000 |
9.29E-010 |
| 200 |
0.00E+000 |
7.28E-004 |
2.09E-014 |
0.00E+000 |
0.00E+000 |
0.00E+000 |
4.77E-014 |
6.16E+001 |
7.27E-003 |
0.00E+000 |
1.16E+000 |
1.81E-003 |
2.23E+000 |
1.99E+000 |
1.09E-008 |
2.54E-003 |
5.91E+001 |
1.37E+001 |
2.62E-009 |
| 500 |
0.00E+000 |
1.66E-003 |
8.85E-011 |
0.00E+000 |
0.00E+000 |
0.00E+000 |
1.49E-013 |
1.03E+004 |
1.17E+000 |
0.00E+000 |
1.04E+001 |
3.58E-003 |
2.24E+001 |
9.95E-001 |
2.48E-008 |
1.61E+000 |
9.60E+001 |
2.39E+001 |
5.38E-009 |
| 1000 |
0.00E+000 |
1.46E-003 |
1.57E+002 |
9.95E-001 |
0.00E+000 |
0.00E+000 |
3.97E-013 |
1.16E+005 |
9.59E+001 |
0.00E+000 |
3.56E+001 |
1.53E+001 |
1.08E+002 |
2.31E+001 |
4.74E-008 |
1.61E+000 |
5.25E+001 |
2.21E+001 |
9.28E-009 |
| |
|
|
|
|
|
|
|
|
|
|
|
|
|
|
|
|
|
|
|
| Tuned IPSOLS |
F1 |
F2 |
F3 |
F4 |
F5 |
F6 |
F7 |
F8 |
F9 |
F10 |
F11 |
F12 |
F13 |
F14 |
F15 |
F16* |
F17* |
F18* |
F19* |
| 50 |
0.00E+000 |
8.53E-014 |
0.00E+000 |
0.00E+000 |
1.41E-001 |
0.00E+000 |
1.25E-010 |
2.36E-008 |
1.24E-004 |
0.00E+000 |
2.05E+000 |
1.95E-010 |
1.42E-009 |
9.95E+000 |
1.96E-010 |
4.03E+001 |
4.49E+001 |
8.95E+000 |
1.15E-010 |
| 100 |
0.00E+000 |
1.14E-013 |
0.00E+000 |
0.00E+000 |
3.27E-001 |
0.00E+000 |
1.95E-011 |
1.64E-002 |
2.74E+001 |
0.00E+000 |
3.70E-002 |
5.65E-010 |
3.99E+000 |
3.08E+001 |
1.96E-010 |
4.46E-011 |
2.04E-001 |
1.39E+001 |
5.49E-011 |
| 200 |
0.00E+000 |
1.42E-013 |
0.00E+000 |
0.00E+000 |
0.00E+000 |
0.00E+000 |
9.29E-011 |
3.75E+001 |
6.24E+001 |
0.00E+000 |
7.51E+001 |
1.03E-011 |
6.22E+001 |
5.57E+001 |
9.27E-010 |
4.01E+001 |
2.88E+002 |
2.56E+001 |
7.41E-011 |
| 500 |
0.00E+000 |
3.55E-013 |
0.00E+000 |
7.04E-002 |
0.00E+000 |
0.00E+000 |
1.73E-010 |
1.14E+004 |
1.30E+002 |
0.00E+000 |
1.92E+002 |
2.72E-011 |
6.92E+001 |
9.34E+001 |
1.86E-009 |
3.16E+001 |
8.71E+001 |
5.47E+001 |
1.86E-010 |
| 1000 |
0.00E+000 |
2.13E-013 |
0.00E+000 |
0.00E+000 |
0.00E+000 |
0.00E+000 |
5.78E-010 |
1.59E+005 |
8.41E+001 |
0.00E+000 |
7.80E+001 |
1.53E+001 |
2.92E+001 |
1.56E+002 |
5.72E-010 |
2.94E+001 |
6.05E+001 |
1.08E+002 |
7.50E-010 |
Minimum Error
| DE |
F1 |
F2 |
F3 |
F4 |
F5 |
F6 |
F7 |
F8 |
F9 |
F10 |
F11 |
F12 |
F13 |
F14 |
F15 |
F16* |
F17* |
F18* |
F19* |
| 50 |
0.00E+00 |
2.56E-01 |
2.55E+01 |
0.00E+00 |
0.00E+00 |
1.14E-13 |
0.00E+00 |
1.89E+00 |
2.72E+02 |
0.00E+00 |
3.35E-05 |
2.72E-13 |
2.28E+01 |
1.32E-08 |
0.00E+00 |
9.33E-10 |
1.18E-02 |
6.13E-05 |
0.00E+00 |
| 100 |
0.00E+00 |
3.82E+00 |
7.55E+01 |
1.37E-13 |
0.00E+00 |
2.84E-13 |
0.00E+00 |
2.86E+02 |
5.04E+02 |
0.00E+00 |
7.89E-05 |
3.42E-11 |
5.95E+01 |
5.65E-08 |
0.00E+00 |
2.63E-09 |
1.49E-01 |
1.98E-04 |
0.00E+00 |
| 200 |
0.00E+00 |
1.74E+01 |
1.74E+02 |
7.44E-13 |
0.00E+00 |
5.97E-13 |
0.00E+00 |
4.82E+03 |
1.01E+03 |
0.00E+00 |
2.26E-04 |
6.65E-10 |
1.34E+02 |
1.24E-07 |
0.00E+00 |
5.54E-09 |
3.49E+01 |
2.94E-04 |
0.00E+00 |
| 500 |
0.00E+00 |
5.13E+01 |
4.70E+02 |
4.64E-12 |
0.00E+00 |
1.59E-12 |
0.00E+00 |
5.51E+04 |
2.52E+03 |
0.00E+00 |
6.13E-04 |
5.95E-09 |
3.57E+02 |
5.55E-07 |
0.00E+00 |
1.71E-08 |
1.10E+02 |
9.19E-04 |
0.00E+00 |
| 1000 |
0.00E+00 |
8.22E+01 |
9.66E+02 |
2.76E-11 |
0.00E+00 |
3.18E-12 |
0.00E+00 |
2.31E+05 |
5.12E+03 |
0.00E+00 |
1.25E-03 |
1.40E-08 |
7.28E+02 |
1.30E-06 |
0.00E+00 |
3.61E-08 |
2.34E+02 |
2.03E-03 |
0.00E+00 |
| |
|
|
|
|
|
|
|
|
|
|
|
|
|
|
|
|
|
|
|
| CHC |
F1 |
F2 |
F3 |
F4 |
F5 |
F6 |
F7 |
F8 |
F9 |
F10 |
F11 |
F12 |
F13 |
F14 |
F15 |
F16* |
F17* |
F18* |
F19* |
| 50 |
1.23E-11 |
5.13E+01 |
9.74E-01 |
5.47E+01 |
9.92E-12 |
4.72E-07 |
4.58E-10 |
3.19E+01 |
2.99E+02 |
4.62E-11 |
3.68E-04 |
6.04E-11 |
1.14E+01 |
3.99E+01 |
1.11E-08 |
0.00E+00 |
9.55E-01 |
3.98E+00 |
0.00E+00 |
| 100 |
2.64E-11 |
7.30E+01 |
9.12E+01 |
1.64E+02 |
7.16E-12 |
3.02E-07 |
2.05E-10 |
9.32E+02 |
5.69E+02 |
1.42E+01 |
1.64E+00 |
6.43E-11 |
2.41E+01 |
1.19E+02 |
2.42E-08 |
1.05E+00 |
4.14E+01 |
3.97E+01 |
4.20E+00 |
| 200 |
1.36E-11 |
9.34E+01 |
2.07E+02 |
4.02E+02 |
4.41E-12 |
1.30E-07 |
1.20E-09 |
5.91E+03 |
1.16E+03 |
3.57E+01 |
1.19E+02 |
1.60E+01 |
1.62E+02 |
3.52E+02 |
7.42E-08 |
6.19E+00 |
2.64E+02 |
1.63E+02 |
1.47E+01 |
| 500 |
1.93E-12 |
1.16E+02 |
4.94E+02 |
1.46E+03 |
8.53E-14 |
2.83E+00 |
7.76E-09 |
6.09E+04 |
2.97E+03 |
1.08E+02 |
1.50E+03 |
3.63E+02 |
3.35E+02 |
1.15E+03 |
6.53E+00 |
2.32E+01 |
2.96E+02 |
6.32E+02 |
4.82E+01 |
| 1000 |
7.56E-12 |
1.38E+02 |
1.22E+03 |
4.13E+03 |
1.14E-13 |
1.03E+01 |
2.28E-07 |
2.61E+05 |
6.06E+03 |
2.15E+02 |
4.42E+03 |
8.80E+02 |
1.32E+03 |
3.21E+03 |
2.83E+01 |
5.46E+01 |
1.91E+03 |
1.59E+03 |
1.19E+02 |
| |
|
|
|
|
|
|
|
|
|
|
|
|
|
|
|
|
|
|
|
| G-CMA-ES |
F1 |
F2 |
F3 |
F4 |
F5 |
F6 |
F7 |
F8 |
F9 |
F10 |
F11 |
F12 |
F13 |
F14 |
F15 |
F16* |
F17* |
F18* |
F19* |
| 50 |
0.00E+00 |
2.08E-11 |
0.00E+00 |
7.16E+01 |
0.00E+00 |
2.00E+01 |
6.16E-11 |
0.00E+00 |
4.38E+00 |
2.10E+00 |
7.83E+00 |
1.15E+02 |
1.36E+02 |
7.42E+01 |
1.73E-04 |
3.19E+02 |
5.96E+02 |
1.13E+02 |
4.13E-01 |
| 100 |
0.00E+00 |
7.71E-11 |
0.00E+00 |
1.86E+02 |
0.00E+00 |
2.00E+01 |
2.78E-09 |
0.00E+00 |
4.31E+01 |
9.28E+00 |
8.07E+01 |
3.46E+02 |
3.48E+02 |
2.16E+02 |
2.39E-04 |
7.47E+02 |
1.27E+03 |
2.62E+02 |
6.71E+00 |
| 200 |
0.00E+00 |
4.90E-10 |
0.00E+00 |
0.00E+00 |
0.00E+00 |
2.14E+01 |
4.62E-05 |
0.00E+00 |
2.95E+02 |
3.04E+01 |
6.37E+02 |
8.30E+02 |
8.02E+02 |
5.08E+02 |
4.81E-03 |
1.66E+03 |
3.07E+03 |
6.42E+02 |
3.36E+01 |
| 500 |
0.00E+00 |
1.52E-04 |
2.50E+02 |
1.88E+03 |
0.00E+00 |
2.15E+01 |
1.23E+124 |
7.68E-07 |
1.58E+03 |
1.03E+02 |
3.50E+03 |
2.41E+03 |
2.59E+03 |
1.80E+03 |
1.25E+217 |
5.23E+03 |
8.60E+03 |
1.92E+03 |
3.48E+05 |
| |
|
|
|
|
|
|
|
|
|
|
|
|
|
|
|
|
|
|
|
| Default IPSOLS |
F1 |
F2 |
F3 |
F4 |
F5 |
F6 |
F7 |
F8 |
F9 |
F10 |
F11 |
F12 |
F13 |
F14 |
F15 |
F16* |
F17* |
F18* |
F19* |
| 50 |
0.00E+000 |
2.19E-006 |
0.00E+000 |
0.00E+000 |
0.00E+000 |
0.00E+000 |
0.00E+000 |
1.55E-008 |
8.53E-005 |
0.00E+000 |
8.36E-005 |
5.23E-010 |
1.34E-006 |
9.32E-007 |
1.77E-011 |
2.04E-005 |
9.83E-004 |
6.20E-009 |
2.98E-011 |
| 100 |
0.00E+000 |
7.22E-006 |
0.00E+000 |
0.00E+000 |
0.00E+000 |
0.00E+000 |
0.00E+000 |
1.18E-002 |
2.37E-005 |
0.00E+000 |
2.22E-004 |
5.07E-010 |
2.76E-006 |
7.77E-006 |
2.71E-011 |
1.01E-005 |
6.28E-003 |
3.30E-005 |
1.06E-011 |
| 200 |
0.00E+000 |
1.69E-005 |
0.00E+000 |
0.00E+000 |
0.00E+000 |
0.00E+000 |
0.00E+000 |
2.71E+001 |
3.63E-004 |
0.00E+000 |
1.98E-004 |
1.84E-004 |
7.78E-006 |
1.72E-005 |
1.36E-010 |
2.58E-004 |
5.18E-003 |
6.73E-005 |
3.01E-012 |
| 500 |
0.00E+000 |
5.16E-006 |
0.00E+000 |
0.00E+000 |
0.00E+000 |
0.00E+000 |
0.00E+000 |
6.63E+003 |
6.88E-004 |
0.00E+000 |
4.45E-004 |
1.09E-004 |
4.26E-005 |
2.93E-005 |
3.00E-010 |
4.56E-004 |
8.00E-003 |
2.31E-004 |
3.67E-011 |
| 1000 |
0.00E+000 |
1.14E-005 |
0.00E+000 |
0.00E+000 |
0.00E+000 |
0.00E+000 |
0.00E+000 |
7.58E+004 |
9.28E-004 |
0.00E+000 |
3.06E-003 |
4.20E-004 |
9.62E-005 |
9.98E-005 |
1.71E-009 |
1.91E-003 |
1.25E-002 |
5.28E-004 |
1.68E-011 |
| |
|
|
|
|
|
|
|
|
|
|
|
|
|
|
|
|
|
|
|
| Tuned IPSOLS |
F1 |
F2 |
F3 |
F4 |
F5 |
F6 |
F7 |
F8 |
F9 |
F10 |
F11 |
F12 |
F13 |
F14 |
F15 |
F16* |
F17* |
F18* |
F19* |
| 50 |
0.00E+000 |
0.00E+000 |
0.00E+000 |
0.00E+000 |
0.00E+000 |
0.00E+000 |
0.00E+000 |
2.59E-010 |
0.00E+000 |
0.00E+000 |
0.00E+000 |
5.71E-013 |
1.52E-011 |
5.01E-013 |
2.13E-014 |
2.43E-012 |
1.25E-009 |
3.97E-012 |
2.87E-014 |
| 100 |
0.00E+000 |
0.00E+000 |
0.00E+000 |
0.00E+000 |
0.00E+000 |
0.00E+000 |
0.00E+000 |
2.13E-003 |
0.00E+000 |
0.00E+000 |
0.00E+000 |
1.96E-012 |
5.94E-011 |
1.78E-012 |
0.00E+000 |
5.83E-012 |
2.29E-008 |
9.98E-012 |
2.62E-014 |
| 200 |
0.00E+000 |
0.00E+000 |
0.00E+000 |
0.00E+000 |
0.00E+000 |
0.00E+000 |
0.00E+000 |
1.74E+001 |
0.00E+000 |
0.00E+000 |
0.00E+000 |
4.65E-012 |
1.77E-009 |
4.67E-012 |
0.00E+000 |
1.30E-011 |
4.99E-008 |
2.31E-011 |
4.57E-014 |
| 500 |
0.00E+000 |
1.07E-014 |
0.00E+000 |
0.00E+000 |
0.00E+000 |
0.00E+000 |
0.00E+000 |
6.26E+003 |
0.00E+000 |
0.00E+000 |
0.00E+000 |
1.49E-011 |
6.50E-009 |
1.54E-011 |
2.48E-012 |
4.03E-011 |
2.82E-007 |
6.09E-011 |
2.19E-013 |
| 1000 |
0.00E+000 |
1.42E-014 |
0.00E+000 |
0.00E+000 |
0.00E+000 |
0.00E+000 |
0.00E+000 |
9.82E+004 |
0.00E+000 |
0.00E+000 |
0.00E+000 |
3.50E-011 |
2.01E-008 |
3.68E-011 |
5.02E-012 |
8.28E-011 |
2.11E-007 |
1.35E-010 |
1.34E-013 |